Photon lifetime ; relativistic instantaneousness and localeousness of interactions


• One of the tests for relativity is connected to particles lifetime. If one considers a muon coming from cosmic rays and reaching the Earth with a speed close to the speed of light, one finds out that its lifetime is larger than the one for a muon at rest. This comes from the fact that the duration with physical meaning for the muon is the one connected to its proper reference frame ; it is thus necessary to found upon the proper time interval dtau (or upon the relativistic invariant metric element  ds = c dtau)  rather than upon the time interval  dt  measured within our reference frame.

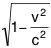
If one takes interest in the similar case for a photon, which mass is null, one may consider a massive particle, and afterwards get the massless limit with constant momentum. For a muon moving with the speed  v  from a point A to a point B separated by a distance D, the journey duration is  T = D/v.  In the reference frame where the muon is at rest, the journey duration is  T’ = T . racine2,  duration while which the points A and B (mooving with the speed -v) travel through a distance  D’ = D . racine2.

When one gets the massless limit with a constant momentum, the speed v tends to c and then T’ and D’ tend to zero. This consists to say that, with respect to its “proper reference frame”, the photon travel through no distance within no duration.

One is thus leaded to the notion of a photon “arriving in the same time as it starts” (not with respect to our vision of things, but with respect to the interaction to which it is participating), which does not forbid to distinguish the start point and the end point since there is an energy transfer from the one to the other.

• This manner of “instantaneous” flashing rejoins the idea, previously used by Newton, of particles interacting instantaneously at a distance. Although it is certain that the light “starts from the source” and “goes towards the detector”, the propagation which follows from the newtonian representation of interactions is in a manner instantaneous (which is a language misuse since the word “propagation” evokes a spatial distance but also a time difference). Then, if one replaces (according to the introduction by Einstein of the relativistic light propagation) the instantaneousness corresponding to  dt = 0  by its analoguous corresponding to dtau = 0,  one finds out that the propagation with the speed of light may rightly be considered as the relativistic instantaneousness of the light interaction.

All this leads to a non local model, or rather to one having a relativistic “localeousness” connected to the property  ds = 0,  where the path of a wave packet describing a particle must be considered globally (I prefer to use the neologism “localeousness” rather than the expression “locality”, which have several meanings, in order to emphasize the same difference as between the words “instant” and “instantaneousness”).

This interpretation of phenomena contains some hardly deterministic aspects in the way that, being considered as a whole, the wave shows some correlations with informations about its end point as early as it starts. This global manner to consider interactions may run counter to intuition, particularly in some cases of distant correlations where it becomes difficult to separate causes from effects without contradict quantum mechanics. However, when one studies an elctromagnetic field in the Coulomb jauge, one is lead to use the non delayed scalar potential of electrostatics, which seems to have nothing like relativistic ; one is still lead to the same result as in the Lorentz jauge where the delayed potential is used. This is indeed coherent with the determinist principle qui saying that present can be deduced from past and is thus partly equivalent to it with respect to the contained information ; this moreover shows that the spatio-temporal correlations of the physical world may seem stange when they are expressed in the appropriate reference frame or jauge.

• Moreover, this is not independent of the interpretation that Feynman had proposed in order to attempt to eliminate from some computations the divergences caused by electrons autointeraction : with Wheeler, he considered a distant interaction connected to a superposition of equal contributions of delayed and advanced waves [1]. A frequent reproach to this work was that it replaced the difficulty of a divergence by the difficulty of a violation of the causality principle. Now, this kind of argument is not appropriate in the relativistic instantaneousness approach : not only an electron can interact by advanced potentials as source, but (in so far as is respected the symmetry between the two directions of time) it do that logically as much as it interacts by delayed potentials as detector.

• A complication may seem to appear if one comes back to the muon case in order to treat, in the way evoked at the beginning, the case of massive particles, moving with a speed inferior to the light one. Indeed, there is no longer  ds = 0  along the path and it is thus not possible to use directely the relativistic instantaneousness.

Several hypotheses may be considered in order to generalize this notion. But the generalization is direct if one considers that “naked” particles are massless and that the mass of particles “dressed” by interactions comes from  a renormalization.

__________________
References :

1.  see as example :  “vous voulez rire”, Pour la Science - les génies de la science, n° 19 (“Feynman, génie magicien”), may 2004.



Return to the beginning