| ◊ |
les diodes simples (celles étudiées ici) s'opposent au passage du courant dans un sens (bloqué) et le laissent passer dans l'autre sens (passant) dès que la tension dépasse un certain seuil ; |
| ◊ |
les diodes Zéner laissent aussi passer le courant dans le sens “normalement” bloqué, dès que la tension dépasse un autre seuil (qui a l'avantage de pouvoir être choisi lors de la fabrication). |
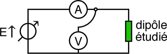
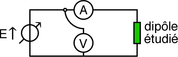
| ◊ si le courant est faible et la tension grande (portions “bloquées”), alors la tension aux bornes de l’ampèremètre est négligeable, par contre le courant dans le voltmètre peut ne pas être négligeable ; il faut donc utiliser le montage en longue dérivation. | ![]() |
| ◊ si le courant est grand et la tension faible (portions les plus “passantes”), alors le courant dans le voltmètre est négligeable, par contre la tension aux bornes de l’ampèremètre peut ne pas être négligeable ; il faut donc utiliser le montage en courte dérivation. | ![]() |
| • À l’aide du montage ci-contre (avec une
résistance
choisie pour ne pas dépasser les limites de la diode),
observer les propriétés de “redresseur” simple alternance de
la diode (simple). Pourquoi le fonctionnement est-il plus “efficace” si la tension délivrée par le générateur est nettement supérieure au seuil de la diode ? |
![]() |
| • Le pont de Graetz est un pont
“redresseur” (double alternance) correspondant au montage
ci-contre. Il s'agit en fait d'un “quadripôle” avec deux
bornes d'entrée et deux borne de sortie. Le tracé de sa caractéristique “utile” consiste ici à visualiser en abscisse la tension en entrée du pont et en ordonnée une tension en sortie du pont. |
![]() |
