RÉGIME SINUSOÏDAL - QUADRIPÔLES - corrigé des exercices



A. EXERCICES DE BASE

I. Impédance itérative

1.a. • Pour que le courant débité par le générateur soit le même que s’il était branché sur RR ,  il faut et il suffit que la résistance équivalente de l’ensemble soit RR :  r1+Rr2R+r2=R\displaystyle r_1+\frac{R \:r_2}{R+r_2}=R   donc   R=r12(1+1+4r2r1)\displaystyle R=\frac{r_1}{2} \: \left(1+\sqrt{1+\frac{4 \,r_2}{r_1}}\right) .


1.b. • Dans ces conditions :  U1=RI1U_1=R \:I_1  et  U0=RI0U_0=R \:I_0  ;  par suite :  P1P0=(U1U0)2=(Rr1R)2=(r2R+r2)2\displaystyle \frac{P_1}{P_0} =\left(\frac{U_1}{U_0} \right)^2=\left(\frac{R-r_1}{R}\right)^2=\left(\frac{r_2}{R+r_2}\right)^2.

   
2.a. • Le raisonnement précédent peut s’appliquer par récurrence ; il suffit de considérer un seul élément “LC” du type indiqué. Le calcul est analogue en remplaçant r1r_1 par  Z_1=1jCω\displaystyle \underline{Z}_1=\frac{1}{\mathrm{j} \,Cω}  et  r2r_2 par  Z_2=r+jLω\underline{Z}_2=r+\mathrm{j} \,Lω  ;  on obtient ainsi :  Z_=1±14LCω2+4jrCω2jCω\displaystyle \underline{Z}=\frac{1±\sqrt{1-4 \,LCω^2+4 \,\mathrm{j} \,rCω}}{2 \,\mathrm{j} \,Cω} .
• En constatant alors que le cas indiqué correspond à  4LCω2=14 \,LCω^2=1 ,  on obtient après simplification :  Z_=1±(1+j)2jrCω2jCω\displaystyle \underline{Z}=\frac{1±(1+\mathrm{j}) \: \sqrt{2 \,\mathrm{j} \,rCω}}{2 \,\mathrm{j} \,Cω} .  On constate alors qu’il y a deux solutions complexes, mais une seule a un argument dans  [π2;π2]\left[-\frac{π}{2} \,; \frac{π}{2}\right] ,  c’est-à-dire une partie réelle positive (réalisable à partir de résistances, d’inductances et de capacités) :  Z_=1+(1+j)2jrCω2jCω=r2Cωj1+2rCω2Cω\displaystyle \underline{Z}=\frac{1+(1+\mathrm{j}) \: \sqrt{2 \,\mathrm{j} \,rCω}}{2 \,\mathrm{j} \,Cω}=\sqrt{\frac{r}{2 \,Cω}}-\mathrm{j} \,\frac{1+\sqrt{2 \,rCω}}{2 \,Cω} .


2.b. • Si on réalise cette impédance par un circuit avec r0r_0 et C0C_0 en série, d’impédance :  Z_=r0+1jC0ω\displaystyle \underline{Z}=r_0+\frac{1}{\mathrm{j} \,C_0 \,ω} ,  cela correspond à :   r0=r2Cω=35,4Ω\displaystyle r_0=\sqrt{\frac{r}{2 \,Cω}}=\text{35,4} \:\mathrm{Ω}   et en reportant :  C0=2Cr0r+r0=11,7μF\displaystyle C_0=\frac{2 \,C \,r_0}{r+r_0}=\text{11,7} \:\mathrm{μF} .


II. Adaptation d'impédances

1. • L'impédance complexe Z_\underline{Z} de l'assemblage en parallèle de RR' et CC est telle que :  1Z_=1R+jCω\displaystyle \frac{1}{\underline{Z}}=\frac{1}{R'}+\mathrm{j} \,Cω  c'est-à-dire :  Z_=R1+jRCω\displaystyle \underline{Z}=\frac{R'}{1+\mathrm{j} \,R'Cω} .  L'impédance de l'assemblage de RR ,  LL et Z_\underline{Z} en série est alors :  Z_=R+jLω+Z_\underline{Z}'=R+\mathrm{j} \,Lω+\underline{Z} .
• Le courant débité par le générateur est par suite :  I_=E_Z_\displaystyle \underline{I}=\frac{\underline{E}}{\underline{Z}'}  et la tension aux bornes de Z_\underline{Z} (tension commune à RR' et CC) est :  U_=Z_I_=E_Z_Z_=E_RR+R.(1LCω2)+jω.(L+RRC)\displaystyle \underline{U}=\underline{Z} \: \underline{I}=\frac{\underline{E} \: \underline{Z}}{\underline{Z}'}=\frac{\underline{E} \: R'}{R+R'.\,\left(1-LCω^2 \right)+\mathrm{j} \,ω.(L+RR'C)} .
• Compte tenu de  U_=RI\underline{U}=R' \:I' ,  la puissance (moyenne) dissipée dans RR' est alors :

P=RI2=U2R=|U_|2R=E2R(R+R.(1LCω2))2+ω2.(L+RRC)2\displaystyle P=R' \:{I'}^2=\frac{U^2}{R'}=\frac{{\left|\underline{U}\right|}^2}{R'}=\frac{E^2 \:R'}{\left(R+R'.\,\left(1-LCω^2 \right)\right)^2+ω^2.\left(L+RR'C\right)^2} .
• La différentielle de PP, pour RR et RR' fixées, peut s'écrire sous la forme :  dP=PLdL+PCdC\displaystyle dP=\frac{∂P}{∂L} \: dL+\frac{∂P}{∂C} \: dC  ;  la valeur maximum est obtenue quand la différentielle est nulle, c'est-à-dire quand  PL=0\displaystyle \frac{∂P}{∂L}=0  et  PC=0\displaystyle \frac{∂P}{∂C}=0 .  Ces conditions correspondent à :  LR2C.(1LCω2)=0L-{R'}^2 \,C.\left(1-LCω^2 \right)=0  et  R2CL.(1LCω2)=0R^2 \,C-L .\left(1-LCω^2 \right)=0 .
• En régime sinusoïdal  (ω0ω≠0) et pour  RRR'≥R  (l'égalité est acceptable) on obtient alors :

C=1RωRRR\displaystyle C=\frac{1}{R' \,ω} \: \sqrt{\frac{R'-R}{R}}   et   L=(RR)Rω\displaystyle L=\frac{\sqrt{(R'-R) \: R}}{ω} .
◊ remarque : en régime continu  (ω=0ω=0)  il semble que la solution soit :  R=R=LC\displaystyle R'=R=\sqrt{\frac{L}{C}} ,  mais elle ne décrit pas correctement le problème (en courant continu, LL et CC sont sans effet ; la condition  R=RR'=R  est correcte, mais obtenue ici par hasard puisqu'elle ne peut découler logiquement que de la différentielle dPdP exprimée en fonction de dRdR et/ou dRdR').


2.a. • L'assemblage de CC en parallèle avec l'ensemble de RR' et LL a une impédance complexe Z_\underline{Z} telle que :  1Z_=1R+jLω+jCω\displaystyle \frac{1}{\underline{Z}}=\frac{1}{R'+\mathrm{j} \,Lω}+\mathrm{j} \,Cω  c'est-à-dire :  Z_=R+jLω(1LCω2)+jRCω\displaystyle \underline{Z}=\frac{R'+\mathrm{j} \,Lω}{\left(1-LCω^2 \right)+\mathrm{j} \,R'Cω} .  L'impédance totale de l'assemblage de RR et Z_\underline{Z} en série est alors :  Z_=R+Z_\underline{Z}'=R+\underline{Z} .
• Le courant débité par le générateur est par suite :  I_=E_Z_\displaystyle \underline{I}=\frac{\underline{E}}{\underline{Z}'}  et la tension aux bornes de Z_\underline{Z} (tension commune à CC et à l'ensemble de RR' et LL) est :  U_=Z_I_=E_Z_Z_=E_.(R+jLω)R+R.(1LCω2)+jω.(L+RRC)\displaystyle \underline{U}=\underline{Z} \: \underline{I}=\frac{\underline{E} \: \underline{Z}}{\underline{Z}'}=\frac{\underline{E}.(R'+\mathrm{j} \,Lω)}{R'+R.\left(1-LCω^2 \right)+\mathrm{j} \,ω.(L+RR'C)} .
• Le courant circulant dans RR' (et LL) est alors :  I_=U_R+jLω\displaystyle \underline{I}'=\frac{\underline{U}}{R'+\mathrm{j} \,Lω}  et la tension aux bornes du résistor est donc :  U_=RI_=E_RR+R.(1LCω2)+jω.(L+RRC)\displaystyle \underline{U}'=R' \:\underline{I}'=\frac{\underline{E} \: R'}{R'+R.\left(1-LCω^2 \right)+\mathrm{j} \,ω.(L+RR'C)} .  La puissance (moyenne) dissipée dans RR' est par suite :

P=RI2=U2R=|U_|2R=E2R(R+R.(1LCω2))2+ω2.(L+RRC)2\displaystyle P=R' \:{I'}^2=\frac{{U'}^2}{R'}=\frac{\left|\underline{U}'\right|^2}{R'}=\frac{E^2 \: R'}{\left(R'+R.\left(1-LCω^2 \right)\right)^2+ω^2.(L+RR'C)^2} .
• Le calcul analogue à celui de la question (1) conduit aux conditions :  LR2C.(1LCω2)=0L-R^2 \,C.\left(1-LCω^2 \right)=0   et   R2CL.(1LCω2)=0{R'}^2 \,C-L .\left(1-LCω^2 \right)=0 .
• En régime sinusoïdal  (ω0ω≠0) et pour  RRR'≤R  (l'égalité est acceptable) on obtient alors :

C=1RωRRR\displaystyle C=\frac{1}{R \,ω} \, \sqrt{\frac{R-R'}{R'}}   et   L=(RR)Rω\displaystyle L=\frac{\sqrt{(R-R') \: R'}}{ω} .
◊ remarque : en régime continu, la solution semble ici encore :  R=R=LC\displaystyle R'=R=\sqrt{\frac{L}{C}} ,  mais de même elle ne décrit pas correctement le problème (il faut écrire dès le départ les équations avec  ω=0ω=0 ).


2.b. • L'intérêt d'utiliser des éléments “réactifs” est qu’ils peuvent adapter la phase de Z_\underline{Z} alors que les résistances ne peuvent adapter que le module ZZ .
• L’avantage de n'utiliser que des éléments “réactifs” est qu'ils ne consomment pas d'énergie par eux mêmes (ils la stockent et la restituent alternativement). Par contre, ils conduisent tout de même à des pertes d'énergie par effet Joule dans RR .


III. Fonction de transfert

1. • Puisque  i_s=0\underline{i}_s= 0 ,  c'est le même courant qui circule dans RR ,  rr et CC :  i_e=u_eR+r+1jCω\displaystyle \underline{i}_e=\frac{\underline{u}_e}{R+r+\frac{1}{\mathrm{j} \,Cω}} .  La tension de sortie, aux bornes de r r et CC , est alors :  u_s=(r+1jCω)i_e\displaystyle \underline{u}_s=\left(r+\frac{1}{\mathrm{j} \,Cω}\right) \: \underline{i}_e  et la fonction de transfert (gain en tension) est donc  H_=u_su_e=r+1jCωR+r+1jCω\displaystyle \underline{H}=\frac{\underline{u}_s}{\underline{u}_e} =\frac{r+\frac{1}{\mathrm{j} \,Cω}}{R+r+\frac{1}{\mathrm{j} \,Cω}} .

2. • Pour exprimer H_\underline{H} en fonction de   ω0=1rC\displaystyle ω_0=\frac{1}{r \,C} ,   x=ωω0\displaystyle x=\frac{ω}{ω_0}   et   α=rr+R\displaystyle α=\frac{r}{r+R}  on peut écrire :  H_=1+jx1+jxα\displaystyle \underline{H}=\frac{1+\mathrm{j} \,x}{1+\mathrm{j} \frac{x}{α}}  ;  ceci peut aussi se mettre sous la forme :  H_=α+x2+j(α1)xα.(1+x2α2)\displaystyle \underline{H}=\frac{α+x^2+\mathrm{j} \:(α-1) \: x}{α.\left(1+\frac{x^2}{α^2} \right)} .

3. • Ainsi :  H(ω)=|H_|=1+x21+x2α2\displaystyle H(ω)=\left|\underline{H}\right|=\sqrt{\frac{1+x^2}{1+\frac{x^2}{α^2}}}   et   ϕ=arg(H_)=arctan((α1)xα+x2)\displaystyle ϕ=\arg(\underline{H})=\arctan⁡\left(\frac{(α-1) \: x}{α+x^2 }\right) .
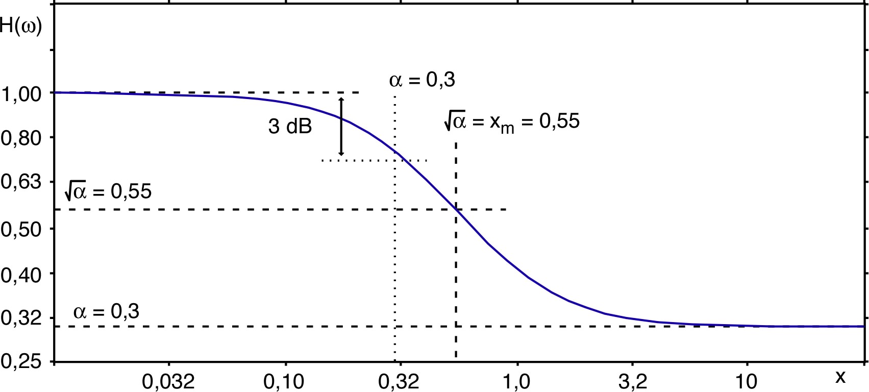
• Le diagramme de Bode pour H(ω)H(ω) est le suivant (en prenant par exemple  α=0,3α=\text{0,3} ).

sinQuadr_cor_Im/sinQuadr_cor_Im1.jpg

◊ remarque : ce diagramme de Bode présente un point d'inflexion :  H(ω)=αH(ω)=\sqrt{α}  pour  x=αx=\sqrt{α}  ;  par ailleurs, la fréquence de coupure à  3dB-3 \:\mathrm{dB}  correspond à :  xc=α12α2\displaystyle x_c=\frac{α}{\sqrt{1-2 \,α^2}}  (inférieure à ω0ω_0 pour  α=0,3α=\text{0,3} )  et n'existe que si  α<12α<\frac{1}{\sqrt{2}}  (HαH→α  quand  ωω→∞ ).
• Le diagramme de Bode pour ϕ(ω)ϕ(ω) est le suivant (en prenant par exemple  α=0,3α=\text{0,3} ).

sinQuadr_cor_Im/sinQuadr_cor_Im13.jpg

• La fonction “arctan\arctan” étant strictement monotone, dans l'intervalle de valeurs considéré, l'extremum de ϕ(ω)ϕ(ω) (qui est un minimum) correspond à l'extremum de  xα+x2\displaystyle \frac{x}{α+x^2} .  On obtient alors  xm=αx_m=\sqrt{α} ,  d'où on déduit :  ϕm=arctan(α12α)\displaystyle ϕ_m=\arctan\left(\frac{α-1}{2 \,\sqrt{α}}\right) .


IV. Combinaison de fonctions de transfert

1. • Puisque  i_s=0\underline{i}_s=0 ,  c'est le même courant qui circule dans RRrr et CC :  i_e=u_eR+r+1jCω\displaystyle \underline{i}_e=\frac{\underline{u}_e}{R+r+\frac{1}{\mathrm{j} \,Cω}} .  La tension de sortie, aux bornes de rr et CC , est alors :  u_s=(r+1jCω)i_e\displaystyle \underline{u}_s=\left(r+\frac{1}{\mathrm{j} \,Cω}\right) \: \underline{i}_e  et la fonction de transfert (gain en tension) est donc  H_=u_su_e=r+1jCωR+r+1jCω\displaystyle \underline{H}=\frac{\underline{u}_s}{\underline{u}_e} =\frac{r+\frac{1}{\mathrm{j} \,Cω}}{R+r+\frac{1}{\mathrm{j} \,Cω}} .


2. • On peut écrire  H_=1+jrCω1+j(R+r)Cω=H_1H_2\displaystyle \underline{H}=\frac{1+\mathrm{j} \,rCω}{1+\mathrm{j} \,(R+r)\,Cω}=\frac{\underline{H}_1}{\underline{H}_2}   avec  H_1=1+jωω1\displaystyle \underline{H}_1=1+\mathrm{j} \frac{ω}{ω_1}   et  H_2=1+jωω2\displaystyle \underline{H}_2=1+\mathrm{j} \frac{ω}{ω_2}  .


3.a. • Pour simplifier on peut ici poser  x=xkx=x_k  et  H_k=1+jx\underline{H}_k=1+\mathrm{j} \,x  ;  les deux cas sont alors analogues.
• Ainsi :  Hk(ω)=|H_k(ω)|=1+x2H_k (ω)=\left|\underline{H}_k (ω)\right|=\sqrt{1+x^2} .  Pour  x0x≈0  le montage est suiveur :  Hk1H_k≈1  et  HkdB0H_{k\mathrm{dB}}≈0  ;  pour  x x≈∞  le montage est dérivateur :  HkxH_k≈x  et  HkdB20log(x)H_{k\mathrm{dB}}≈20 \; \log⁡(x) .  Les deux asymptotes se coupent pour  x=1x=1 .

sinQuadr_cor_Im/sinQuadr_cor_Im2.jpg


3.b. • On obtient ici :  ϕk(ω)=arg(H_k(ω))=arctan(x)ϕ_k (ω)=\arg(\underline{H}_k (ω))=\arctan⁡(x) .  Pour  x0x≈0  le montage est suiveur :  ϕk0ϕ_k≈0  ;  pour  xx≈∞  le montage est dérivateur :  ϕkπ2ϕ_k≈\frac{π}{2} .
• Pour  x1x≈1  on est ramené à étudier le développement limité par rapport à  ξ=log(x)0ξ=\log⁡(x)≈0  ;  ainsi :  ϕkarctan(1)+ddξ(arctan(10ξ))ξπ4+ln(10)2ξ\displaystyle ϕ_k≈\arctan⁡(1)+\frac{d}{dξ} \left(\arctan\left(10^ξ \right) \right) \: ξ≈\frac{π}{4}+\frac{\ln(10)}{2} \: ξ .  Ceci correspond à une droite coupant les asymptotes pour  ln(10)2ξ=±π4\displaystyle \frac{\ln⁡(10)}{2} \: ξ=±\frac{π}{4}  donc pour  ξ=log(x)=±π2log(e)ξ=\log⁡(x)=±\frac{π}{2} \: \log⁡(\mathrm{e})  ;  x=e±π/2x=\mathrm{e}^{±π/2} .

sinQuadr_cor_Im/sinQuadr_cor_Im3.jpg


4.a. • On peut écrire :  H(ω)=|H_1H_2|\displaystyle H(ω)=\left|\frac{\underline{H}_1}{\underline{H}_2} \right|  donc :  HdB=20log(H1)20log(H2)=H1dBH2dBH_{\mathrm{dB}}=20 \; \log(H_1)-20 \; \log(H_2)=H_{1\mathrm{dB}}-H_{2\mathrm{dB}} .

• Pour  ω<ω2ω<ω_2  on obtient  H1dBH2dB0H_{1\mathrm{dB}}≈H_{2\mathrm{dB}}≈0  donc  HdB0H_{\mathrm{dB}}≈0  (dans l'approximation asymptotique).
• Pour  ω2<ω<ω1ω_2<ω<ω_1  on obtient  H1dB0H_{1\mathrm{dB}}≈0  et  H2dB20log(x2)H_{2\mathrm{dB}}≈20 \; \log(x_2)  avec  x2=x1α\displaystyle x_2=\frac{x_1}{α}  ;  ceci donne donc :  HdB20log(α)20log(x1)H_{\mathrm{dB}}≈20 \; \log(α)-20 \; \log(x_1) .
• Pour  ω1<ωω_1<ω  on obtient  H1dB20log(x1)H_{1\mathrm{dB}}≈20 \; \log(x_1)  et  H2dB20log(x2)H_{2\mathrm{dB}}≈20 \; \log(x_2)  donc :  HdB20log(α)H_{\mathrm{dB}}≈20 \; \log(α) .

• Le diagramme de Bode simplifié pour H(ω)H(ω) est donc le suivant.

sinQuadr_cor_Im/sinQuadr_cor_Im4.jpg

◊ remarque : ce diagramme de Bode présente un point d'inflexion :  H(ω)=αH(ω)=\sqrt{α}  pour  x1=αx_1=\sqrt{α}  ;  par contre, l'approximation au niveau de ce point d'inflexion est assez médiocre si αα est trop proche de 11 , car la zone correspondante n'est pas dans les portions bien représentées par les asymptotes.


4.b. • De façon analogue  ϕ=arg(H_)=arg(H_1)arg(H_2)=ϕ1ϕ2ϕ=\arg(\underline{H})=\arg(\underline{H}_1)-\arg(\underline{H}_2)=ϕ_1-ϕ_2 .

• Pour  log(x2)<π2log(e)\log(x_2)<-\frac{π}{2} \, \log⁡(\mathrm{e})  c'est-à-dire  log(x1)<log(α)π2log(e)\log(x_1)<\log(α)-\frac{π}{2} \, \log(\mathrm{e})  on obtient :  ϕ1ϕ20ϕ_1≈ϕ_2≈0  donc  ϕ0ϕ≈0  (dans l'approximation asymptotique).
• Pour  π2log(e)<log(x1)<log(α)+π2log(e)-\frac{π}{2} \: \log(\mathrm{e})<\log(x_1)<\log(α)+\frac{π}{2} \: \log(\mathrm{e})  les variations affines analogues de ϕ1ϕ_1 et ϕ2ϕ_2 donnent une différence constante :  ϕln(10)2log(α)0,60rad\displaystyle ϕ≈\frac{\ln⁡(10)}{2} \: \log(α)≈-\text{0,60} \:\mathrm{rad} .
• Pour  π2log(e)<log(x1)\frac{π}{2} \: \log(\mathrm{e})<\log(x_1)  on obtient  ϕ1ϕ2π2ϕ_1≈ϕ_2≈\frac{π}{2}  donc :  ϕ0ϕ≈0 .
• Dans les deux zones intermédiaires, le raccordement se fait de façon affine.

• Le diagramme de Bode simplifié pour ϕ(ω)ϕ(ω) est donc le suivant.

sinQuadr_cor_Im/sinQuadr_cor_Im5.jpg


4.c. • La courbe réelle présente des “arrondis” au niveau des raccordements du diagramme simplifié. L'extremum de ϕ(ω)ϕ(ω) (qui est un minimum) correspond par symétrie au milieu de l'intervalle “minimum” représenté ici :  log(xm)=log(α)+log(1)2\displaystyle \log(x_m)=\frac{\log(α)+\log(1)}{2}  donc  xm=αx_m=\sqrt{α} .
• D'après ce qui précède, le minimum est :  ϕmln(10)2log(α)=ln(α)\displaystyle ϕ_m≈\frac{\ln⁡(10)}{2} \: \log(α)=\ln(\sqrt{α})  ;  compte tenu des approximations, ce n'est a priori qu'un ordre de grandeur.


V. Circuit “RLC” et fonction de transfert

1. • Puisque i_s=0\underline{i}_s=0 ,  c'est le même courant qui circule dans RRLL et CC :  i_e=u_eR+j.(Lω1Cω)\displaystyle \underline{i}_e=\frac{\underline{u}_e}{R+\mathrm{j}.\left(Lω-\frac{1}{Cω}\right)} .  La tension de sortie, aux bornes de RR , est alors :  u_s=Ri_e\underline{u}_s=R \:\underline{i}_e  et la fonction de transfert (gain en tension) est par conséquent :  H_=u_su_e=RR+j.(Lω1Cω)\displaystyle \underline{H}=\frac{\underline{u}_s}{\underline{u}_e} =\frac{R}{R+\mathrm{j}.\left(Lω-\frac{1}{Cω}\right)} .

2. • En fonction de  ω0=1LC\displaystyle ω_0=\frac{1}{\sqrt{L \,C}} ,  x=ωω0\displaystyle x=\frac{ω}{ω_0}   et  𝒬=Lω0R=1RCω0\displaystyle 𝒬=\frac{Lω_0}{R}=\frac{1}{RCω_0}  on obtient :  H_=11+j𝒬.(x1x)\displaystyle \underline{H}=\frac{1}{1+\mathrm{j} \,𝒬.(x-\frac{1}{x})} .
• On en déduit :  H(ω)=|H_|=11+𝒬2.(x1x)2\displaystyle H(ω)=\left|\underline{H}\right|=\frac{1}{\sqrt{1+𝒬^2.\left(x-\frac{1}{x}\right)^2}}   et   ϕ=arg(H_)=arctan(𝒬.(x1x))ϕ=\arg(\underline{H})=-\arctan\left(𝒬.\left(x-\frac{1}{x}\right)\right) .
• Le diagramme de Bode pour H(ω)H(ω) est le suivant pour  𝒬=10𝒬=10 (résonance aiguë).

sinQuadr_cor_Im/sinQuadr_cor_Im6.jpg

• Le diagramme est le suivant pour  𝒬=0,5𝒬=\text{0,5}  (résonance large).

sinQuadr_cor_Im/sinQuadr_cor_Im7.jpg

• Le diagramme de Bode pour ϕ(ω)ϕ(ω) est le suivant (en prenant pour exemples  𝒬=10𝒬=10  et  𝒬=0,5𝒬=\text{0,5} ).

sinQuadr_cor_Im/sinQuadr_cor_Im8.jpg

3. • On peut écrire :  GdB=20log(H(ω)H(ω0))\displaystyle G_{\mathrm{dB}}=20 \; \log\left(\frac{H(ω)}{H(ω_0)}\right)  ;  ainsi en particulier :  GdB20log(x𝒬)\displaystyle G_{\mathrm{dB}}≈20 \; \log\left(\frac{x}{𝒬}\right)  pour  ωω0ω≪ω_0  et de même :  GdB20log(1𝒬x)\displaystyle G_{\mathrm{dB}}≈20 \; \log\left(\frac{1}{𝒬 \,x}\right)  pour  ωω0ω≫ω_0 .
• La bande passante à  3dB-3 \:\mathrm{dB}  en puissance est limitée par ωω tel que  H(ω)=H(ω0)2=12\displaystyle H(ω)=\frac{H(ω_0)}{\sqrt{2}}=\frac{1}{\sqrt{2}} ,  c'est-à-dire  ω2±ω0𝒬ω02=0\displaystyle ω^2±\frac{ω_0}{𝒬}-ω_0^{\:2}=0 .  Les solutions positives  ω1=ω02𝒬(1+4𝒬21)\displaystyle ω_1=\frac{ω_0}{2 \,𝒬} \:\left(\sqrt{1+4 \,𝒬^2}-1\right)   et   ω2=ω02𝒬(1+4𝒬2+1)\displaystyle ω_2=\frac{ω_0}{2 \,𝒬} \:\left(\sqrt{1+4 \,𝒬^2}+1\right)  donnent la bande passante :  ω=ω2ω1=ω0𝒬\displaystyle ∆ω=ω_2-ω_1=\frac{ω_0}{𝒬} .


VI. Fonctions de transfert

1. • L’impédance complexe équivalente à l'ensemble de CC et RcR_c peut s’écrire :  Z_1=1jCω+1Rc=Rc1+jRcCω\displaystyle \underline{Z}_1=\frac{1}{\mathrm{j} \,Cω+\frac{1}{R_c}}=\frac{R_c}{1+\mathrm{j} \,R_c \, Cω} .
• D'après le principe du pont diviseur de tension :  H_u=u_su_e=Z_1R+Z_1=RcR.(1+jRcCω)+Rc\displaystyle \underline{H}_u=\frac{\underline{u}_s}{\underline{u}_e} =\frac{\underline{Z}_1}{R+\underline{Z}_1}=\frac{R_c}{R.(1+\mathrm{j} \,R_c \, Cω)+R_c} .

2. • D'après le principe du pont diviseur de courant :  H_i=i_si_e=GcY_1=Z_1Rc=11+jRcCω\displaystyle \underline{H}_i=\frac{\underline{i}_s}{\underline{i}_e} =\frac{G_c}{\underline{Y}_1} =\frac{\underline{Z}_1}{R_c} =\frac{1}{1+\mathrm{j} \,R_c \, Cω} .

3. • Le gain en puissance moyenne peut s'écrire :  HP=PsPe=UsIscos(ϕs)UeIecos(ϕe)=HuHicos(ϕs)cos(ϕe)\displaystyle H_P=\frac{P_s}{P_e} =\frac{U_s \: I_s \: \cos(ϕ_s )}{U_e \: I_e \: \cos(ϕ_e )}=H_u \: H_i \, \frac{\cos(ϕ_s )}{\cos(ϕ_e )}  .
• Par ailleurs :

Hu=|H_u|=Rc(R+Rc)2+(RRcCω)2\displaystyle H_u=\left|\underline{H}_u \right|=\frac{R_c}{\sqrt{(R+R_c )^2+(RR_c \,Cω)^2}}  ;   Hi=|H_i|=11+(RcCω)2\displaystyle H_i=\left|\underline{H}_i \right|=\frac{1}{\sqrt{1+(R_c \, Cω)^2}}  ;
u_s=Rci_s\underline{u}_s=R_c \: \underline{i}_s  ;   cos(ϕs)=cos(arg(Rc))=1\cos(ϕ_s )=\cos(\arg(R_c ))=1  ;
u_e=(R+Z_1)i_e\underline{u}_e=(R+\underline{Z}_1 ) \;\underline{i}_e  ;   ϕe=arg(R+Z_1)=arg(R.(1+jRcCω)+Rc.(1jRcCω)1+(RcCω)2)\displaystyle ϕ_e=\arg(R+\underline{Z}_1)=\arg\left(\frac{R.(1+\mathrm{j} \,R_c \: Cω)+R_c.(1-\mathrm{j} \,R_c \: Cω)}{1+(R_c \:Cω)^2}\right)  ;
cos(ϕe)=cos(arg(R+Rc+jRcCω.(RRc)))=R+Rc(R+Rc)2+(RcCω)2(RRc)2\displaystyle \cos(ϕ_e )=\cos\left(\arg\left(R+R_c+\mathrm{j} \,R_c \, Cω .(R-R_c )\right)\right)=\frac{R+R_c}{\sqrt{(R+R_c )^2+(R_c \, Cω)^2 \:(R-R_c )^2}} .
• Finalement :  HP=RcR+Rc(R+Rc)2+(RcCω)2(RRc)2(R+Rc)2+(RRcCω)21+(RcCω)2\displaystyle H_P=\frac{R_c}{R+R_c} \: \frac{\sqrt{(R+R_c )^2+(R_c \: Cω)^2 \:(R-R_c )^2}}{\sqrt{(R+R_c )^2+(RR_c \: Cω)^2 \: \sqrt{1+(R_c \: Cω)^2}}} .


VII. Filtre et fonction de transfert

1. • L’impédance complexe équivalente peut s’écrire :  Z_e=jLω+1jCω+1Z_c+jLω=jLω+Z_c+jLω1+jCω.(Z_c+jLω)\displaystyle \underline{Z}_e=\mathrm{j}\, Lω+\frac{1}{\mathrm{j} \,Cω+\frac{1}{\underline{Z}_c+\mathrm{j} \,Lω}}=\mathrm{j} \,Lω+\frac{\underline{Z}_c+\mathrm{j} \,Lω}{1+\mathrm{j} \,Cω.(\underline{Z}_c+\mathrm{j} \,Lω)} .

2. • La condition :  Z_it=jLω+1jCω+1Z_it+jLω\displaystyle \underline{Z}_{it}=\mathrm{j} \,Lω+\frac{1}{\mathrm{j} \,Cω+\frac{1}{\underline{Z}_{it}+\mathrm{j} \,Lω}}   correspond à :  Z_it2=2LCL2ω2\displaystyle \underline{Z}_{it}^{\:2}=\frac{2 \,L}{C}-L^2 \,ω^2  (valeur réelle).
• On constate que  Z_it2=0\underline{Z}_{it}^{\:2}=0  pour  ω=ω1=2LC\displaystyle ω=ω_1=\sqrt{\frac{2}{L \,C}} .  De plus, on obtient ainsi :  Z_it2>0\underline{Z}_{it}^{\:2}>0  pour  ω<ω1ω<ω_1 ,  ce qui correspond à une impédance Z_it\underline{Z}_{it} réelle (purement résistive) ; on obtient de même :  Z_it2<0\underline{Z}_{it}^{\:2}<0  pour  ω>ω1ω>ω_1 ,  ce qui correspond à une impédance Z_it\underline{Z}_{it} imaginaire (purement réactive).
◊ remarque : on peut écrire ainsi :  Z_it=Lω12ω2\underline{Z}_{it}=L \:\sqrt{ω_1^{\:2}-ω^2} .

3. • La loi des mailles donne :  (Z_c+jLω)i_s=i_ei_sjCω\displaystyle (\underline{Z}_c+\mathrm{j} \,Lω) \; \underline{i}_s=\frac{\underline{i}_e-\underline{i}_s}{\mathrm{j} \,Cω}  d’où on déduit :  i_e=i_s.[1+jCω.(Z_c+jLω)]\underline{i}_e=\underline{i}_s .\left[1+\mathrm{j} \,Cω .(\underline{Z}_c+\mathrm{j} \,Lω)\right] .  La fonction de transfert est :  H_=u_su_e=Z_ci_sZ_ei_e=Z_cZ_c.(1LCω2)+jLω.(2LCω2)\displaystyle \underline{H}=\frac{\underline{u}_s}{\underline{u}_e} =\frac{\underline{Z}_c \: \underline{i}_s}{\underline{Z}_e \: \underline{i}_e}=\frac{\underline{Z}_c}{\underline{Z}_c .\left(1-LCω^2 \right)+\mathrm{j} \,Lω.\left(2-LCω^2 \right)} .

4. • Si on ajuste  Z_c=Z_it(ω)=Lω12ω2=Z_e\underline{Z}_c=\underline{Z}_{it} (ω)=L \:\sqrt{ω_1^{\:2}-ω^2}=\underline{Z}_e  on obtient :  H_(ω)=11LCω2+jLCω.ω12ω2\displaystyle \underline{H} (ω)=\frac{1}{1-LCω^2+\mathrm{j} \,LCω.\sqrt{ω_1^{\:2}-ω^2}} .
• En particulier pour  ω<ω1ω<ω_1  on obtient :

H(ω)=1(1LCω2)2+L2C2ω2.(ω12ω2)=1\displaystyle H(ω)=\frac{1}{\sqrt{\left(1-LCω^2 \right)^2+L^2 \,C^2 \,ω^2.(ω_1^{\:2}-ω^2 )}}=1  ;   ϕ(ω)=arctan(ωω12ω2ω02ω2)\displaystyle ϕ(ω)=-\arctan\left(\frac{ω\: \sqrt{ω_1^{\:2}-ω^2}}{ω_0^{\:2}-ω^2}\right)   avec  ω0=1LC\displaystyle ω_0=\frac{1}{\sqrt{L \,C}} .
• De même, pour  ω>ω1ω>ω_1 :  H(ω)=1LCω21+LCω.ω2ω12\displaystyle H(ω)=\frac{1}{LCω^2-1+LCω.\sqrt{ω^2-ω_1^{\:2}}}   et   ϕ(ω)=πϕ(ω)=π  (H_(ω)\underline{H} (ω) réel mais négatif).
• Ceci peut être résumé par les représentations graphiques suivantes.

sinQuadr_cor_Im/sinQuadr_cor_Im9.jpg

sinQuadr_cor_Im/sinQuadr_cor_Im10.jpg



B. EXERCICE D'APPROFONDISSEMENT

VIII. Diode tunnel ; auto-oscillation et amplification

1. • D’après le schéma, la tension aux bornes de la diode peut s’écrire :  UAB=ERIU_{AB}=E-R \:I  ;  le “point de fonctionnement” sur le graphique correspond donc à l’intersection de la courbe caractéristique avec la droite d’équation :  I=EUR\displaystyle I=\frac{E-U}{R} .  La valeur indiquée pour RR donne une conductance  G=1R6,9mS\displaystyle G=\frac{1}{R}≈\text{6,9} \:\mathrm{mS}  et la valeur de EE est telle que la droite précédente est proche de celle représentée sur le graphique.
• Inversement, la pente indiquée sur le graphique correspond à une résistance ρ avec  ρ=150Ωρ=150 \:\mathrm{Ω} .  Puisque le point de fonctionnement est au voisinage du point indiqué  (U1=200mVU_1=200 \:\mathrm{mV}  et  I1=0,5mAI_1=\text{0,5} \:\mathrm{mA} )  on peut alors obtenir le résultat par un calcul algébrique, en assimilant la portion “centrale” de la caractéristique avec la droite d’équation :  UAB=U1ρ.(II1)U_{AB}=U_1-ρ.(I-I_1 ) .  On obtient ainsi le point d’intersection pour  U0=U1=200mVU_0=U_1=200 \:\mathrm{mV}  et  I0=I1=0,5mAI_0=I_1=\text{0,5} \:\mathrm{mA} .


2. • Soumis à une f.e.m.  E=E0+eE0E=E_0+e≈E_0  le circuit est parcouru par un courant  I=I0+iI0I=I_0+i≈I_0  et la tension aux bornes de la diode est donc :  U=ERI=U0+(eRi)U0U=E-R \:I=U_0+(e-R \:i)≈U_0 .  Or, au voisinage de ce point de fonctionnement, la caractéristique peut être décrite par :  U=U0ρ.(II0)U=U_0-ρ.(I-I_0 )  ;  la tension variable ajoutée de ce fait à U0U_0 est donc :  UU0=ρiU-U_0=-ρ \:i ,  ce qui est caractéristique d’une résistance négative ρ .
◊ remarque : le signe négatif ne provient pas d’un choix arbitraire du sens de mesure de la tension (elle est mesurée dans le même sens que celui qui donnerait une résistance positive pour un résistor) ; ce signe négatif est associé à la pente négative de la caractéristique (sur la portion considérée).


3.
• Le montage peut ainsi être représenté (pour le régime variable) par le schéma ci-contre.

• On obtient dans ces conditions :  u=Riu=R \:i  et  e=(Rρ)ie=(R-ρ) \:i  donc :  𝒜=ue=RRρ\displaystyle 𝒜=\frac{u}{e}=\frac{R}{R-ρ} .
sinQuadr_cor_Im/sinQuadr_cor_Im11.jpg

• Si la résistance RR est donnée, la seule façon de modifier 𝒜𝒜 est de changer ρρ .  Si la diode tunnel est donnée, on peut modifier ρρ en utilisant un autre point de fonctionnement sur la caractéristique, c’est-à-dire en imposant E0E_0 différent (et donc U0U_0 et I0I_0 différents) pour se placer en un point de la caractéristique dont la pente est différente.


4. • On obtient dans ces conditions :  u_=Ri_\underline{u}=R \:\underline{i}  et  e_=(R+jLωρ1jρCω)i_\displaystyle \underline{e}=\left(R+\mathrm{j} \,Lω-\frac{ρ}{1-\mathrm{j} \,ρCω}\right) \;\underline{i}   ;  par conséquent :

𝒜_=u_e_=RR+jLωρ1jρCω=R.(1jρCω)Rρ.(1LCω2)+jω.(LρRC)\displaystyle \underline{𝒜}=\frac{\underline{u}}{\underline{e}}=\frac{R}{R+\mathrm{j} \,Lω-\frac{ρ}{1-\mathrm{j} \,ρCω}}=\frac{R.(1-\mathrm{j} \,ρCω)}{R-ρ.\left(1-LCω^2 \right)+\mathrm{j} \,ω.(L-ρRC)} .
• L’argument de 𝒜_\underline{𝒜} correspond au déphasage de uu par rapport à ee :  𝒜_=𝒜ejϕ=UmejϕEmejϕ\displaystyle \underline{𝒜}=𝒜 \:\mathrm{e}^{\mathrm{j}ϕ}=\frac{U_m \: \mathrm{e}^{\mathrm{j}ϕ'}}{E_m \: \mathrm{e}^{\mathrm{j}ϕ''}}  (où UmU_m et EmE_m désignent les amplitudes des variations uu et ee) correspond à  ϕ=ϕϕϕ=ϕ'-ϕ'' .


5. • Le module 𝒜(ω)𝒜(ω) est infini si et seulement si le dénominateur est nul, donc :  Rρ.(1LCω2)=0R-ρ.\left(1-LCω^2 \right)=0  et  LρRC=0L-ρRC=0 .  Ceci donne :  Rc=LρC\displaystyle R_c=\frac{L}{ρ \,C}  et  ωc=ω02α2ω_c=\sqrt{ω_0^{\:2}-α^2}  avec  ω0=1LC\displaystyle ω_0=\frac{1}{\sqrt{L \,C}}  (pulsation propre du circuit “LC”) et  α=1ρC\displaystyle α=-\frac{1}{ρ \,C}  (inverse de la constante de temps caractéristique de “l’amortissement” par le circuit “ρC” ; d’ailleurs dans ces conditions identique, au signe près, à la constante de temps du circuit “RcL”).
◊ remarque : ceci suppose   |α|<ω0\left|α\right|<ω_0   (amortissement relativement faible).
• En fait, dans ces conditions, le circuit “ρC” ne réalise par un “amortissement” mais une amplification ; le gain obtenu est infini car l’amortissement causé par “RcL” est exactement compensé par l’amplification causée par “ρC”. Par suite, le circuit total reçoit de l’énergie (fournie par le générateur) qui n’est pas dissipée, donc l’accumulation de cette énergie fait tendre l’amplitude du signal vers l’infini.
• Dans la mesure où les calculs précédents ne considèrent que le régime sinusoïdal asymptotique (après “amortissement” du régime transitoire), ce régime asymptotique correspond forcément à une amplitude infinie.
◊ remarque : si on changeait RR pour lui donner la valeur RcR_c il faudrait aussi changer E0E_0 si on voulait conserver le même point de fonctionnement (d’où découle ρρ).


6.a. • On peut écrire :  𝒜2=R2.(1+(ρCω)2)(Rρ.(1LCω2))2+ω2.(LρRC)2\displaystyle 𝒜^2=\frac{R^2.\left(1+(ρCω)^2 \right)}{\left(R-ρ.\left(1-LCω^2 \right)\right)^2+ω^2.(L-ρRC)^2} .
• Pour  ω0ω→0  on obtient   ω|α|=1ρC=1,33.109s1\displaystyle ω≪\left|α\right|=\frac{1}{ρ \,C}=\text{1,33}.{10}^9 \: \mathrm{s^{-1}}  donc   ωω0=1LC=1,83.1010s1\displaystyle ω≪ω_0=\frac{1}{\sqrt{L \,C}}=\text{1,83}.{10}^{10} \: \mathrm{s^{-1}}  ;  on peut donc écrire :  𝒜2R2(Rρ)2+ω2.(LρRC)2\displaystyle 𝒜^2≈\frac{R^2}{(R-ρ)^2+ω^2.(L-ρRC)^2} .
• En particulier, tant que ωω n’est pas trop grand, on obtient :  𝒜𝒜(0)=R|Rρ|=29>1\displaystyle 𝒜≈𝒜(0)=\frac{R}{\left|R-ρ\right|} =29>1  ;  cette valeur est d’ailleurs la valeur maximum 𝒜max𝒜_{max} .
◊ remarque : il est normal de retrouver ici l’expression obtenue en négligeant LL et CC ,  puisqu’à faible fréquence l’impédance de LL est négligeable et que celle de CC est quasi-infinie (imposant ainsi le passage du courant dans ρ).


6.b. • Compte tenu du domaine de validité de l’approximation précédente (indiquée en pointillés sur le graphique ci-après), la bande passante peut être calculée avec l’expression simplifiée.
• La limite (supérieure) de la bande passante correspond à :  (Rρ)2+ω12.(LρRC)2=2(Rρ)2(R-ρ)^2+ω_1^{\:2}.(L-ρRC)^2=2 \,(R-ρ)^2  c’est-à-dire :  ω=ω1=|Rρ||LρRC|=46,2.106rad.s1\displaystyle ∆ω=ω_1=\frac{\left|R-ρ\right|}{\left|L-ρRC\right|} =\text{46,2}.{10}^6 \: \mathrm{rad.s^{-1}} .

sinQuadr_cor_Im/sinQuadr_cor_Im12.jpg