RÉGIME SINUSOÏDAL ; FONCTIONS DE TRANSFERT - corrigé du TP


3. Mesures et courbes

3.1. Sortie aux bornes de la résistance R0R_0

• De nombreuses combinaisons de valeurs pour RRLL et CC sont possibles. On peut par exemple considérer le montage avec :  R0=46,18±0,25ΩR_0=\text{46,18}±\text{0,25} \:\mathrm{Ω}  ;  L=67,9±0,9mHL=\text{67,9}±\text{0,9} \:\mathrm{mH}  ;  r=12,0±0,3Ωr=\text{12,0}±\text{0,3} \:\mathrm{Ω}  ;  C=0,50±0,03μFC=\text{0,50}±\text{0,03} \:\mathrm{μF} .

• On obtient ainsi pour H(ω)H(ω) une résonance très marquée.

sinQuadr_corTP_Im/R50L70C05_R_H.png

En pratique, si l'énoncé conseille de mesurer dans l'intervalle de 50Hz≈50 \:\mathrm{Hz}  jusqu'à au moins 2000Hz≈2000 \:\mathrm{Hz} ,  il est clair que cela dépend du choix des paramètres : ici la fréquence de résonance un peu élevée aurait dû inciter à poursuivre les mesures jusqu'à 5000Hz≈5000 \:\mathrm{Hz}  (voire plus) afin de mieux observer l'asymptote des hautes fréquences (c'est l'intérêt de tracer le graphique en même temps que les mesures).

• Le modèle théorique (déduit du cours pour les valeurs choisies des composants RLC) représente plutôt correctement les données, mais le maximum est légèrement surestimé et correspond à une fréquence de résonance un peu sous-estimée ; les écarts sont toutefois comparables aux incertitudes de mesure.

Le gain peut s'écrire  H=R0R2+(Lω1Cω)2\displaystyle H=\frac{R_0}{\sqrt{R^2+\left(Lω-\frac{1}{Cω}\right)^2}}  et le maximum théorique correspond à l'annulation de la réactance ; ainsi :  Hmax=R0R=0,794±0,005\displaystyle H_{max}=\frac{R_0}{R}=\text{0,794}±\text{0,005}  et la pulsation de résonance :  ωr=ω0=1LC=5427±170rad.s1\displaystyle ω_r=ω_0=\frac{1}{\sqrt{L \,C}}=5427±170 \:\mathrm{rad.s^{-1}} .

Les pulsations de coupure correspondent à :  ω1=5135±60rad.s1ω_1=5135±60 \:\mathrm{rad.s^{-1}}  et  ω2=5955±65rad.s1ω_2=5955±65 \:\mathrm{rad.s^{-1}}  ;  la bande passante est donc :  ω=820±125rad.s1∆ω=820±125 \:\mathrm{rad.s^{-1}}  à comparer à  RL=857±19rad.s1\displaystyle \frac{R}{L}=857±19 \:\mathrm{rad.s^{-1}} .

Le facteur de qualité est  𝒬=ω0ω=6,6±1,2\displaystyle 𝒬=\frac{ω_0}{∆ω}=\text{6,6}±\text{1,2}  (𝒬1𝒬≫1  correspond à une résonance très marquée).

• On obtient ainsi pour ϕ(ω)ϕ(ω) une résonance très marquée (bascule de phase brutale).

sinQuadr_corTP_Im/R50L70C05_R_phi.png

• Le déphasage peut s'écrire  ϕ=arctan(Lω1CωR)\displaystyle ϕ=\arctan\left(\frac{Lω-\frac{1}{Cω}}{R}\right)  ;  ce modèle théorique représente plutôt correctement les données. Le passage par  ϕ=0ϕ=0  est en accord avec le maximum de HH et correspond à une fréquence de résonance un peu sous-estimée par le modèle ; les écarts sont toutefois comparables aux incertitudes de mesure. Les passages par  ϕ=±π4ϕ=±\frac{π}{4}  sont en accord avec les pulsations de coupures déterminées d'après HH (les écarts sont comparables aux incertitudes de mesure).

3.2. Sortie aux bornes du condensateur

• On considère ici :  R0=47,5±2,6ΩR_0=\text{47,5}±\text{2,6} \:\mathrm{Ω}  ;  L=66,0±0,9mHL=\text{66,0}±\text{0,9} \:\mathrm{mH}  ;  r=11,0±0,8Ωr=\text{11,0}±\text{0,8} \:\mathrm{Ω}  ;  C=11,53±0,14μFC=\text{11,53}±{0,14} \:\mathrm{μF} .

• Un intérêt à ce choix est qu'on obtient ainsi pour H(ω)H(ω) une résonance moins marquée.

Ici la fréquence de résonance moins élevée aurait normalement permis de bien observer l'asymptote des hautes fréquences ; hélas les mesures n'ont pas dépassé 800Hz≈800 \:\mathrm{Hz}  (alors que l'énoncé conseille jusqu'à au moins 2000Hz≈2000 \:\mathrm{Hz} ). Par chance, cela suffit tout de même pour une observation raisonnable.

Une différence de comportement, par rapport au cas précédent, est que la limite à basse fréquence (régime capacitif) est  H1H→1 .

sinQuadr_corTP_Im/R50L70C12_C_H.png

• Le modèle théorique (déduit du cours pour les valeurs choisies des composants RLC) représente plutôt correctement les données, mais le maximum est légèrement surestimé ; les écarts sont toutefois comparables aux incertitudes de mesure.

Le gain peut s'écrire  H=1CωR2+(Lω1Cω)2\displaystyle H=\frac{\frac{1}{Cω}}{\sqrt{R^2+\left(Lω-\frac{1}{Cω}\right)^2}}  ;  le maximum correspond au minimum de  R2C2ω2+(LCω21)2R^2 C^2 ω^2+(LCω^2-1)^2 .  En notant  w=ω2ω02\displaystyle w=\frac{ω^2}{ω_0^{\:2}}  et  κ=R2C2ω02κ=R^2 C^2 ω_0^{\:2}  la dérivée de  κw+(w1)2κ \:w +(w-1)^2  s'annule pour  w=1κ2\displaystyle w=1-\frac{κ}{2}  ;  ceci correspond à :  ωr=ω0112R2C2ω02<ω0ω_r=ω_0 \: \sqrt{1-\frac{1}{2} R^2 C^2 ω_0^{\:2}}<ω_0 .

On obtient ici :  ω0=1LC=1146±14rad.s1\displaystyle ω_0=\frac{1}{\sqrt{L \,C}}=1146±14 \:\mathrm{rad.s^{-1}}  ;  ωr=960±36rad.s1ω_r=960±36 \:\mathrm{rad.s^{-1}}  ;  Hmax=1,40±0,07H_{max}=\text{1,40}±\text{0,07} .

Les pulsations de coupure correspondent à :  ω10ω_1≈0  et  ω2=1320±40rad.s1ω_2=1320±40 \:\mathrm{rad.s^{-1}}  ;  compte tenu du fait que  Hmax2H_{max}≈\sqrt{2}  ce cas correspond à la limite au delà de laquelle il n'y aurait pas de coupure inférieure. La bande passante est donc :  ω=1320±40rad.s1∆ω=1320±40 \:\mathrm{rad.s^{-1}}  ;  on peut comparer à  RL=886±63rad.s1\displaystyle \frac{R}{L}=886±63 \:\mathrm{rad.s^{-1}}  (valable pour la sortie aux bornes de la résistance) mais seul l'ordre de grandeur correspond vaguement car la résonance n'est pas très marquée.

Le facteur de qualité est  𝒬=ω0ω=0,87±0,04\displaystyle 𝒬=\frac{ω_0}{∆ω}=\text{0,87}±\text{0,04}  (𝒬1𝒬≈1  correspond à une résonance peu marquée).

• On obtient également pour ϕ(ω)ϕ(ω) une résonance moins marquée (bascule de phase plus progressive).

sinQuadr_corTP_Im/R50L70C12_C_phi.png

• Le modèle théorique (juste décalé de π2\frac{π}{2} par rapport au cas précédent) représente plutôt correctement les données (sauf les derniers points). Le passage par  ϕ=π2ϕ=-\frac{π}{2}  est en accord avec  ω0ω_0 .

Les pulsations de coupures sont ici définies autrement pour le déphasage ; la coupure supérieure pour le passage par  ϕ=3π4ϕ=-\frac{3 \,π}{4}  est  ω2=1640±40rad.s1ω_2=1640±40 \:\mathrm{rad.s^{-1}}  ;  la coupure inférieure pour le passage par  ϕ=π4ϕ=-\frac{π}{4}  est  ω1=780±40rad.s1ω_1=780±40 \:\mathrm{rad.s^{-1}}  ;  la bande passante est donc :  ω=860±80rad.s1∆ω=860±80 \:\mathrm{rad.s^{-1}}  compatible avec  RL\displaystyle \frac{R}{L}  (cette définition par le déphasage est sur ce point plus pratique).

Cela correspond à un facteur de qualité  𝒬=ω0ω=1,33±0,14\displaystyle 𝒬=\frac{ω_0}{∆ω}=\text{1,33}±\text{0,14}  (𝒬1𝒬≈1  correspond ici aussi à une résonance peu marquée).

3.3. Sortie aux bornes de la bobine

• On considère ici :  R0=399,8±2,2ΩR_0={399,8}±{2,2} \:\mathrm{Ω}  ;  L=82,0±1,0mHL={82,0}±{1,0} \:\mathrm{mH}  ;  r=12,8±0,3Ωr=\text{12,8}±\text{0,3} \:\mathrm{Ω}  ;  C=1,035±0,010μFC=\text{1,035}±{0,010} \:\mathrm{μF} .

• Un intérêt à ce choix (sur-critique) est qu'ainsi pour H(ω)H(ω) on n'obtient pas vraiment de résonance (seulement une élimination des basses fréquences).

Une différence de comportement, par rapport aux cas précédents, est que la limite à haute fréquence (régime inductif) est  H1H→1 .

• Le modèle théorique (déduit du cours pour les valeurs choisies des composants RLC) représente plutôt correctement les données (en vert) ; il est intéressant de comparer à la modélisation simplifiée négligeant rr (en marron) dont la représentation est seulement légèrement moins bonne  (rR0r≪R_0 ).

sinQuadr_corTP_Im/R400L80C1_Lr_H.png

Le gain peut s'écrire  H=r2+(Lω)2R2+(Lω1Cω)2\displaystyle H=\frac{\sqrt{r^2+(Lω)^2}}{\sqrt{R^2+\left(Lω-\frac{1}{Cω}\right)^2}}  ;  en négligeant rr pour éviter de compliquer inutilement, le maximum correspond au minimum de  R2L2ω2+(11LCω2)2\displaystyle \frac{R^2}{L^2 ω^2}+\left(1-\frac{1}{LCω^2}\right)^2.  Avec  w=ω02ω2\displaystyle w=\frac{ω_0^{\:2}}{ω^2}   et  κ=R2L2ω02\displaystyle κ=\frac{R^2}{L^2 ω_0^{\:2}}  la dérivée de  κw+(1w)2κ \:w +(1-w)^2  s'annule pour  w=1κ2\displaystyle w=1-\frac{κ}{2}  ;  ceci correspond à :  ωr=ω0112R2L2ω02>ω0\displaystyle ω_r=\frac{ω_0}{\sqrt{1-\frac{1}{2} \frac{R^2}{L^2 ω_0^{\:2}}}}>ω_0 .

On obtient ici :  ω0=1LC=3433±75rad.s1\displaystyle ω_0=\frac{1}{\sqrt{L \,C}}=3433±75 \:\mathrm{rad.s^{-1}}  ;  12R2L2ω02=1,07>1\displaystyle \frac{1}{2} \frac{R^2}{L^2 ω_0^{\:2}}=1,07>1  ;  ωr2<0ω_r^{\:2}<0  ;  Hmax=1H_{max}=1 .

Les pulsations de coupure correspondent à :  ω13650±50rad.s1ω_1≈3650±50 \:\mathrm{rad.s^{-1}}  et  ω2ω_2≈∞  (avant de devenir imaginaire  ωrω_r→∞  et il n'y a pas de coupure supérieure). La bande passante est donc :  ω=∆ω=∞  ;  on ne peut pas comparer à  RL=5030±95rad.s1\displaystyle \frac{R}{L}=5030±95 \:\mathrm{rad.s^{-1}}  (valable pour la sortie aux bornes de la résistance) puisqu'il n'y a pas de résonance.

Le facteur de qualité est  𝒬=ω0ω=0\displaystyle 𝒬=\frac{ω_0}{∆ω}=0  (𝒬1𝒬≪1  correspond à une résonance quasi-inexistante).

• De façon analogue au cas de la sortie aux bornes du condensateur, on obtient ici tout de même une résonance pour ϕ(ω)ϕ(ω) ,  bien qu'elle soit nettement moins marquée (bascule de phase plus progressive).

sinQuadr_corTP_Im/R400L80C1_Lr_phi.png

• Le déphasage peut s'écrire  ϕ=arctan(Lωr)arctan(Lω1CωR)\displaystyle ϕ=\arctan\left(\frac{Lω}{r}\right)-\arctan\left(\frac{Lω-\frac{1}{Cω}}{R}\right)  ;  ce modèle modèle théorique représente plutôt correctement les données (en vert). Il est par contre intéressant de comparer à la modélisation simplifiée négligeant rr (en marron) dont la représentation est nettement moins bonne pour les premiers points : à cause de rr ,  ϕπ2ϕ→\frac{π}{2}  aux très basses fréquences (le modèle simplifié donne la limite ππ). Le passage par  ϕ=π2ϕ=\frac{π}{2}  est en accord avec  ω0ω_0 .

Les pulsations de coupure sont définies autrement pour le déphasage ; la coupure supérieure pour  ϕ=π4ϕ=\frac{π}{4}  est  ω2=6710±40rad.s1ω_2=6710±40 \:\mathrm{rad.s^{-1}}  ;  la coupure inférieure pour  ϕ=3π4ϕ=\frac{3 \,π}{4}  est  ω1=1540±60rad.s1ω_1=1540±60 \:\mathrm{rad.s^{-1}}  (un peu perturbée par l'effet de rr ) ; la bande passante est :  ω=5170±100rad.s1∆ω=5170±100 \:\mathrm{rad.s^{-1}}  compatible avec  RL\displaystyle \frac{R}{L}  (cette définition par le déphasage est sur ce point plus pratique).

Cela correspond à un facteur de qualité  𝒬=ω0ω=0,66±0,03\displaystyle 𝒬=\frac{ω_0}{∆ω}=\text{0,66}±{0,03}  (𝒬1𝒬≪1  correspond à une résonance très peu marquée).

◊ remarque : en réalité, la résistance de la bobine augmente avec la fréquence (surtout si la bobine contient un noyau) ; ceci est dû aux interactions électromagnétiques dans les spires de la bobine (qui font qu'à haute fréquence le courant ne circule qu'en surface des fils : effet de peau), ainsi qu'aux courants induits dans le noyau ; les modèles simples utilisés ici sont imparfaits, mais il sont raisonnablement satisfaisants.

4. Influences de R et C

4.1. Sortie aux bornes de la résistance R0R_0

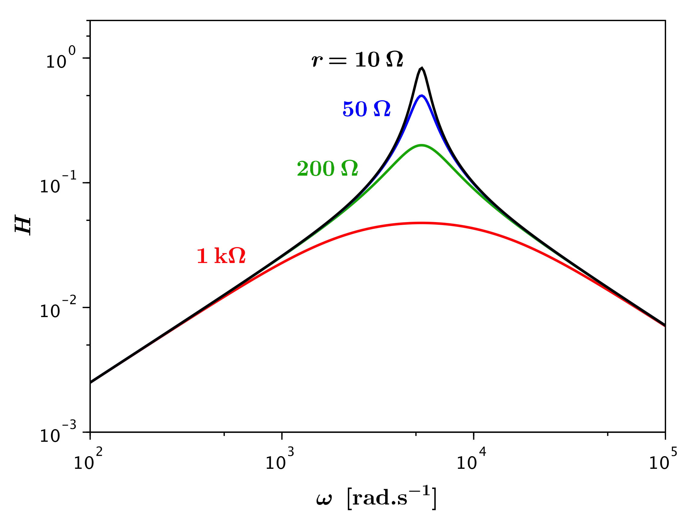
• Puisque les modélisations proposées décrivent correctement les mesures, il est plus simple d'utiliser les variations des courbes théoriques sous l'effet de divers paramètres.

• On peut étudier l'effet de R0R_0 (en prenant comme référence, en noir, l'exemple étudié expérimentalement).

sinQuadr_corTP_Im/HR0_R0.jpg

D'une part l'augmentation de la résistance totale élargit la résonance car l'amortissement par la réactance aux fréquences extrêmes  est en proportion moins important.

D'autre part rr est de plus en plus négligeable donc le maximum augmente et tend vers 11 .

• On peut comparer avec l'effet de rr .

sinQuadr_corTP_Im/HR0_r.jpg

De même l'augmentation de la résistance totale élargit la résonance, mais d'autre part R0R_0 est en proportion de moins en moins important donc le maximum diminue et tend vers 00 .

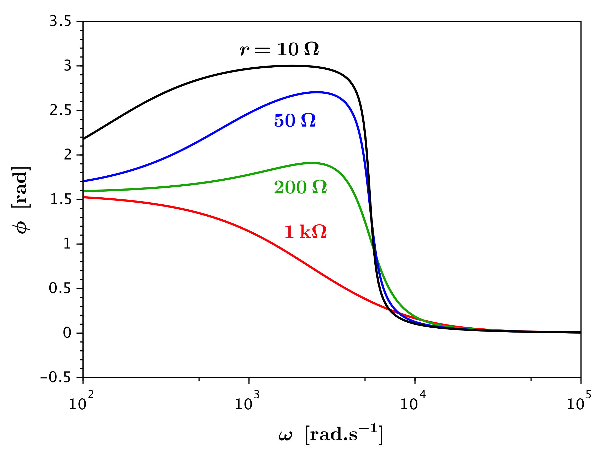
• L'effet sur le déphasage est du même type en augmentant R0R_0 ou rr car ϕϕ ne dépend que de la résistance totale. Il correspond à un saut de phase de plus en plus progressif.

sinQuadr_corTP_Im/phiR0_R0.jpg

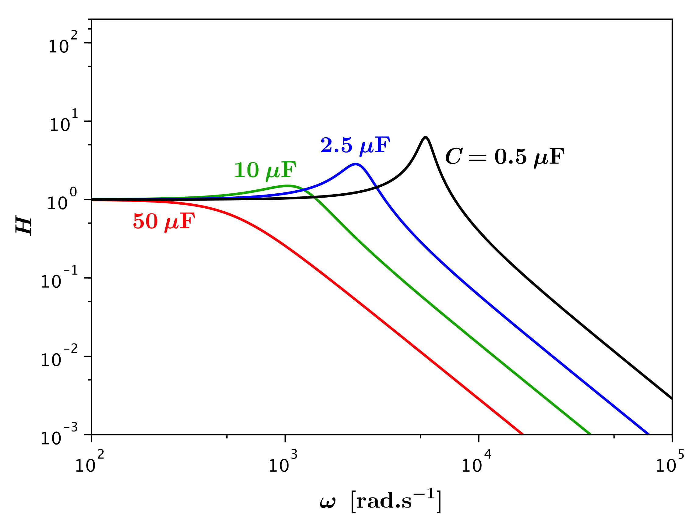
• D'un autre point de vue, on peut étudier l'effet de CC .

sinQuadr_corTP_Im/HR0_C.jpg

D'une part l'augmentation de la capacité fait devenir prépondérant le régime capacitif à des fréquences plus faibles : dans la comparaison de  1Cω\displaystyle \frac{1}{C \,ω}  et RR ,  un CC plus grand intervient pour ωω plus petit.

D'autre part cela élargit la résonance car l'effet de l'inductance aux hautes fréquences est inchangé.

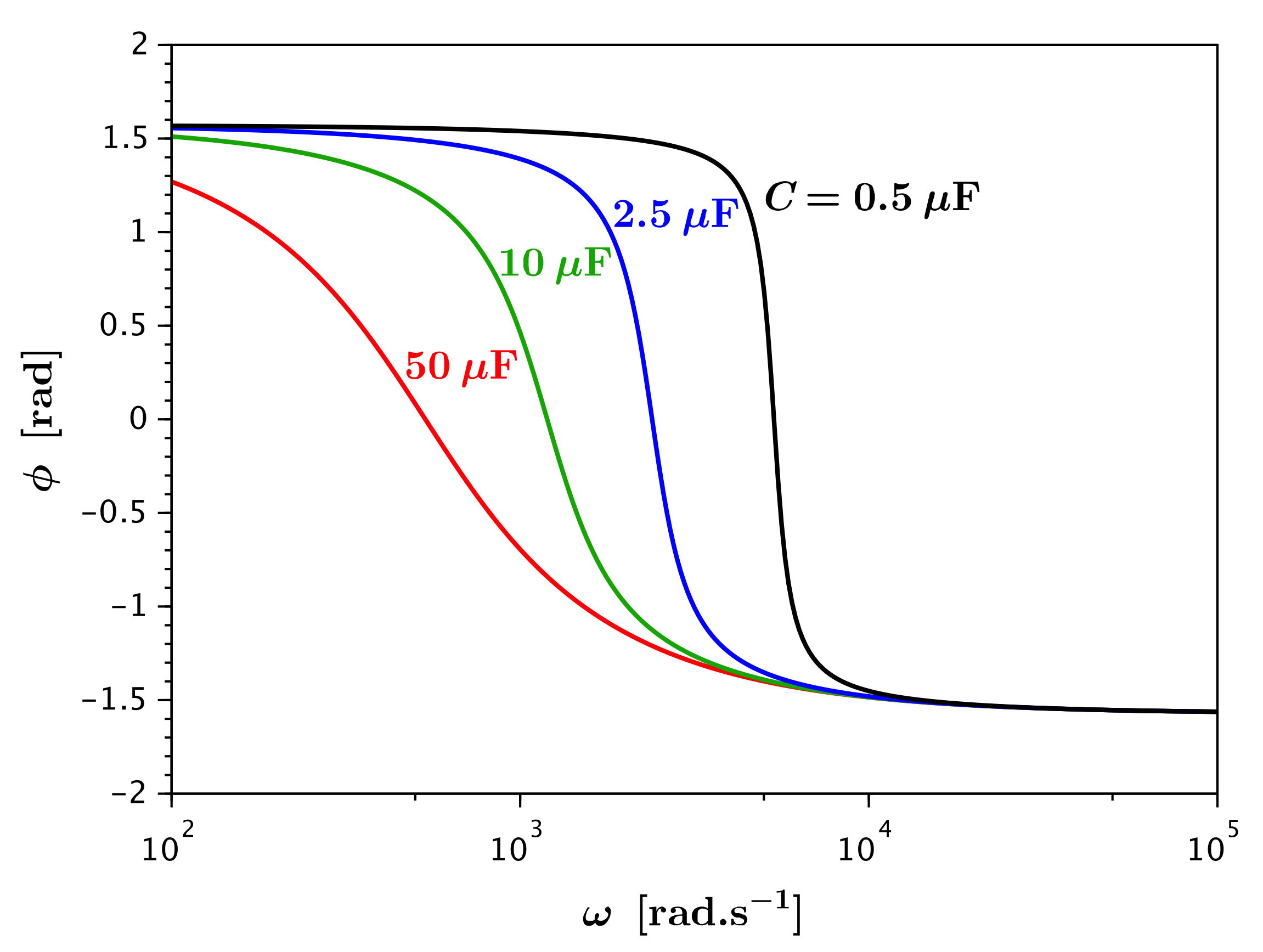
• L'effet sur le déphasage conduit aux mêmes remarques.

sinQuadr_corTP_Im/phiR0_C.jpg

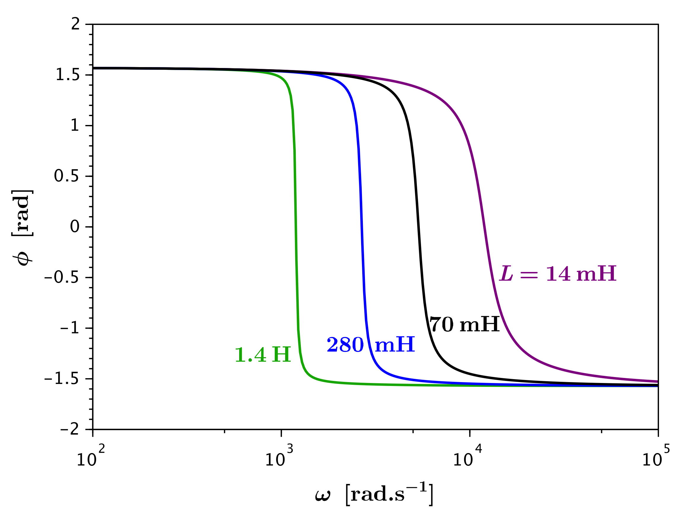
• Puisqu'on se base ici sur les modèles, on peut aussi comparer à l'effet de LL .

sinQuadr_corTP_Im/HR0_L.jpg

L'effet est analogue, mais pour l'effet inductif aux hautes fréquences : dans la comparaison de  LωL \,ω  et RR ,  un LL plus grand intervient pour ωω plus petit.

D'autre part cela resserre la résonance car l'effet de la capacité aux basses fréquences est inchangé.

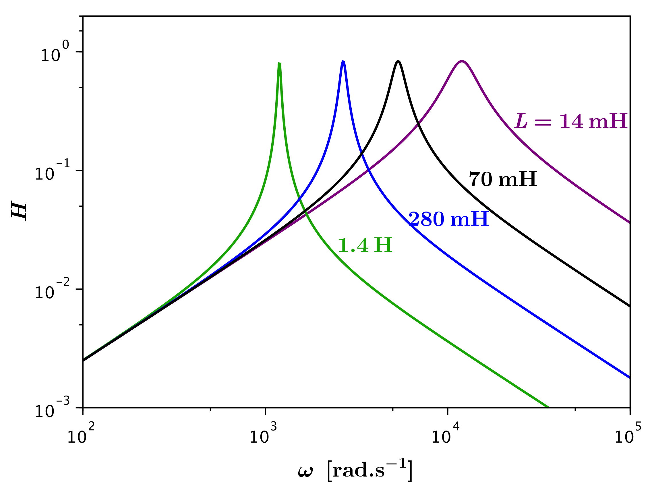
• L'effet sur le déphasage conduit aux mêmes remarques.

sinQuadr_corTP_Im/phiR0_L.jpg

4.2. Sortie aux bornes de la capacité

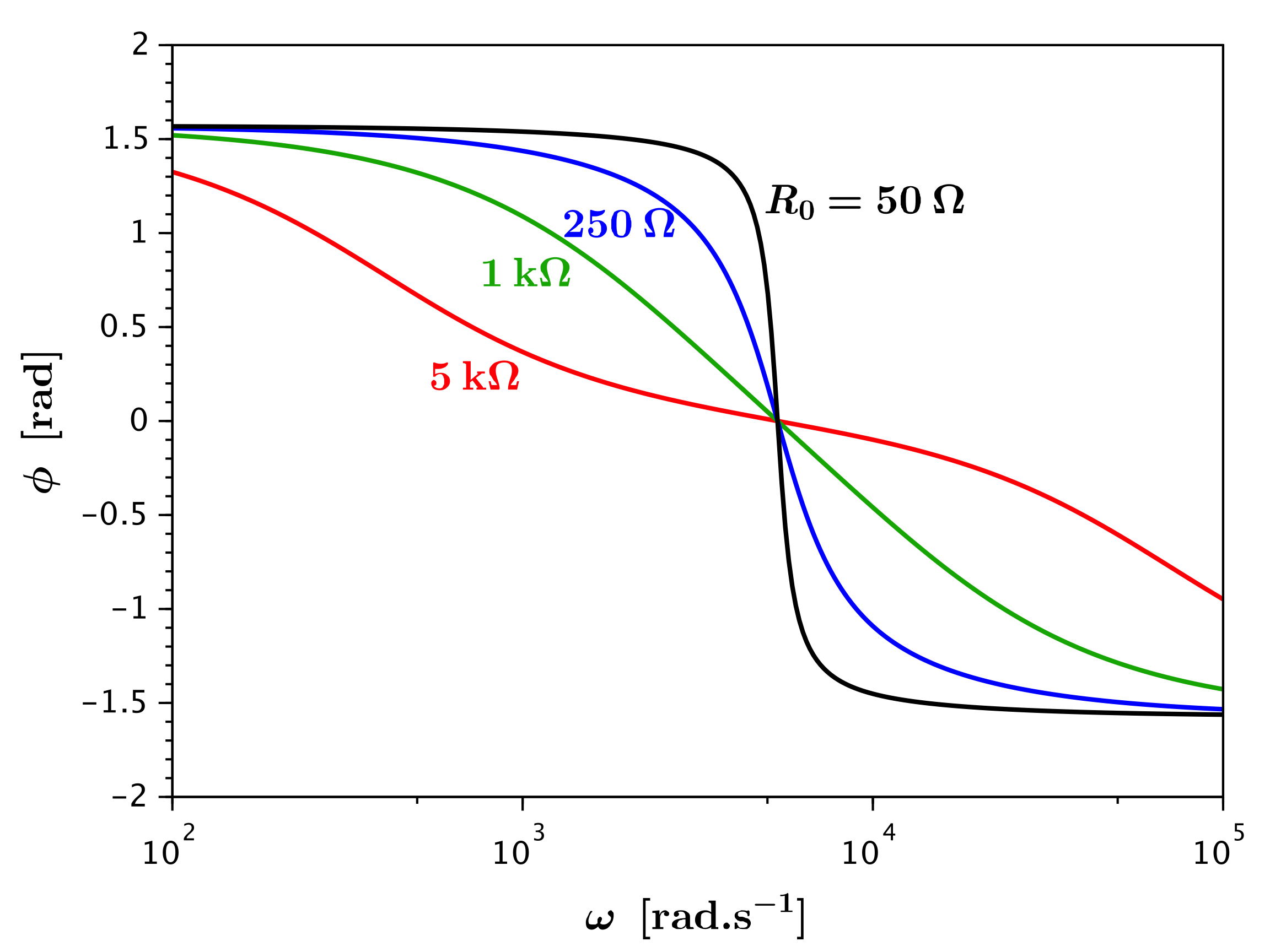
• Puisque le nombre de combinaisons est grand, on n'en cite ici que quelques unes. Pour tout ce qui concerne les déphasages, il y a juste un décalage de π2\frac{π}{2} puisque l'argument de l'impédance du condensateur est constant, comme celui pour la résistance.

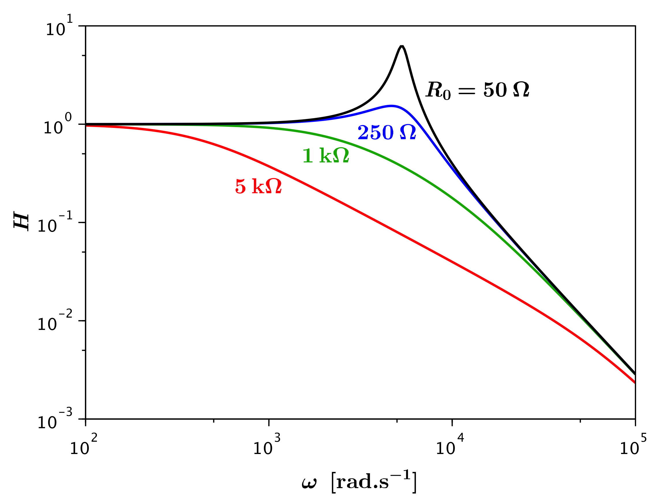
• On peut étudier l'effet de R0R_0 (l'effet est du même type en augmentant R0R_0 ou rr car HH ne dépend que de la résistance totale).
sinQuadr_corTP_Im/HC_R0.jpg

D'une part l'augmentation de la résistance totale élargit la résonance (domaine de prépondérance de la résistance) car l'effet de la réactance aux fréquences extrêmes  est en proportion moins important.

D'autre part  1Cω\displaystyle \frac{1}{C \,ω}  a de moins en moins tendance à rester prépondérant quand la fréquence augmente, donc le maximum diminue et tend vers 11 (prépondérance de la capacité ; la résonance disparaît).

• On peut comparer à l'effet de CC .

sinQuadr_corTP_Im/HC_C.jpg

Ce cas ressemble au précédent : un CC plus grand diminue l'impédance  1Cω\displaystyle \frac{1}{C \,ω}  au détriment de la résistance qui est donc plus facilement prépondérante ; mais la comparaison entre RR et  LωL \,ω  est inchangée donc ceci élargit la résonance seulement du côté capacitif, donc cela la décale vers les basses fréquences.

D'autre part comme pour l'exemple précédent le maximum diminue et tend vers 11 (prépondérance de la capacité ; la résonance disparaît).

4.3. Sortie aux bornes de la bobine

• Cette situation est plus complexe à cause de la résistance de la bobine ; on peut se limiter à un exemple caractéristique : l'effet de rr sur le déphasage.

sinQuadr_corTP_Im/phiLr_r.jpg

Dès les faibles valeurs rr perturbe aux basses fréquences : l'inductance devient sans effet, on mesure aux bornes d'une “résistance” et on compare au total qui est surtout capacitif, d'où  ϕπ2ϕ≈\frac{π}{2} .  Mais cette perturbation n'affecte que les très basses fréquences et on observe le saut de phase associé à la résonance.

Quand rr augmente un peu, cela augmente la résistance totale donc le saut de phase devient plus progressif. Mais si rr devient très grand, alors on n'observe même plus de résonance.