CHAMP ÉLECTROSTATIQUE - corrigé des exercices



A. EXERCICES DE BASE

I. Répartition volumique de charges

1.a. • Dans une couche sphérique d'épaisseur infinitésimale  drdr  la densité  ρρ  est quasi uniforme ; or le volume de la couche est  d𝒱=d(43πr3)=4πr2drd𝒱=d\left(\frac{4}{3} π \:r^3 \right)=4\,π \:r^2 \: dr .  Ainsi :  dQ=ρd𝒱=4πρ0r2.(1ar2R2)dr\displaystyle dQ=ρ \:d𝒱=4\,π \:ρ_0 \: r^2.\left(1-a \,\frac{r^2}{R^2} \right) \: dr .
◊ remarque : on peut aussi retrouver d𝒱d𝒱 en intégrant sur θθ et ϕϕ l'élément de volume infinitésimal à symétrie sphérique  dτ=drrdθrsin(θ)dϕdτ=dr \:r \:dθ \:r \: \sin(θ) \: dϕ :  d𝒱=(0πsin(θ)dθ)(02πdϕ)r2dr\displaystyle d𝒱=\left(∫_0^π \sin(θ) \: dθ \right) \left(∫_0^{2π} dϕ\right) \: r^2 \: dr .


1.b. • La charge totale de la sphère est ainsi :  Q=dQ=4πρ0.(R33aR55R2)=43πρ0R3.(135a)\displaystyle Q=∫ dQ=4π \:ρ_0 .\left(\frac{R^3}{3}-a \:\frac{R^5}{5 \,R^2}\right)=\frac{4}{3} π \:ρ_0 \: R^3.\left(1-\frac{3}{5} \, a\right) .


2.a. • La charge volumique moyenne est :  ρm=Q𝒱=ρ0.(135a)\displaystyle ρ_m=\frac{Q}{𝒱}=ρ_0 .\left(1-\frac{3}{5} a\right) .


2.b. • La “moyenne”  1R0Rρ(r)dr=0Rρ(r)dr0Rdr=ρ0.(113a)\displaystyle \frac{1}{R} \,∫_0^R ρ(r) \: dr=\frac{∫_0^R \,ρ(r) \: dr}{∫_0^R \,dr}=ρ_0 .\left(1-\frac{1}{3} a\right)  n'a aucun intérêt car les grandes valeurs du rayon interviennent d'avantage dans le calcul de la charge moyenne (pour un rayon rr donné, la contribution est proportionnelle à d𝒱d𝒱 ) :  ρm=0Rρ(r)r2dr0Rr2dr\displaystyle ρ_m=\frac{∫_0^R \,ρ(r) \: r^2 \: dr}{∫_0^R \,r^2 \: dr} .


II. Électrisation d'une boule

1. • La norme de la force répulsive peut s'écrire :  F=Q24πε0d2\displaystyle F=\frac{Q^2}{4π \,ε_0 \: d^2}  d'où on déduit :  Q=2dπε0F=236nCQ=2 \,d \:\sqrt{π \,ε_0 \: F}=236 \:\mathrm{nC} .

2. • La charge étant positive (comme l'indique l'énoncé), il s'agit effectivement d'une perte d'électrons ; le nombre d'électrons perdus est :  N1=Q|qe|=1,47.1012\displaystyle N_1=\frac{Q}{|q_e |} =\text{1,47}.{10}^{12} .

3. • Le volume d'une boule est :  𝒱=43πR3=33,5mm3𝒱=\frac{4}{3} π \:R^3=\text{33,5} \:\mathrm{mm^3}  ;  sa masse est :  m=μ𝒱=298mgm=μ \:𝒱=298 \:\mathrm{mg}  ;  le nombre d'atomes de cuivre est donc :  N0=NAmM=2,83.1021\displaystyle N_0=N_A \frac{m}{M}=\text{2,83}.{10}^{21} .  Ceci correspond à une proportion d'électrons perdus par atome :  N1N0=5,21.1010\displaystyle \frac{N_1}{N_0} = \text{5,21}.{10}^{-10}  (proportion extrêmement faible).

4. • Le volume d'une couche chargée est :  𝒱=2r4πR2=6rR𝒱\displaystyle 𝒱'=2 \,r \:4π \:R^2=\frac{6 \,r}{R} \, 𝒱  ;  le nombre d'atomes de cuivre est donc :  N0=6rRN0=1,09.1015\displaystyle N'_0=\frac{6 \,r}{R} \, N_0=\text{1,09}.{10}^{15} .  Ceci correspond à une proportion d'électrons perdus par atome :  N1N0=1,4.103\displaystyle \frac{N_1}{N'_0}= \text{1,4}.{10}^{-3}  (proportion relativement faible).

5. • Si les deux boules perdaient N0N_0 électrons, leurs charges seraient :  Q=N0|qe|=453CQ'=N_0 \: |q_e |=453 \:\mathrm{C}  et la force répulsive serait :  F=Q24πε0d2=7,4.1017N\displaystyle F'=\frac{{Q'}^2}{4π \:ε_0 \: d^2}=\text{7,4}.{10}^{17} \: \mathrm{N}  (énorme ! ).


III. Loi de Coulomb


• La force exercée par une charge q1q_1 placée en un point M1M_1 ,  sur une charge q2q_2 placée en un point M2M_2 ,  est :  F12=14πε0q1q2r2ur\displaystyle \overset{→}{F}_{1→2}=\frac{1}{4π \,ε_0} \, \frac{q_1 \: q_2}{r^2} \:\overset{→}{u}_r  avec  r=M1M2r=M_1 M_2  et  ur=M1M2r\displaystyle \overset{→}{u}_r=\frac{\overset{⟶}{M_1 M_2}}{r} .
• Pour calculer la force totale causée par l'anneau chargé (d'une densité linéique  λ=Q2πR\displaystyle λ=\frac{Q}{2π \:R} ), on peut intégrer la force infinitésimale dFd\overset{→}{F} créée par un élément linéique infinitésimal d𝓁d𝓁 , de charge  dq=λd𝓁dq=λ \:d𝓁 .
• La force infinitésimale étant radiale par rapport à la position de la charge dqdq , la symétrie impose que la force totale est parallèle à OxOx : toute composante perpendiculaire à OxOx est forcément compensée par l'action de la charge dqdq' symétrique de dqdq par rapport à l'axe OxOx .

elecStatique_cor_Im/elecStatique_cor_Im3.jpg
◊ remarque : le schéma correspond au cas où  Qq>0Q \:q>0 .
• Il suffit de calculer  F=Fxux\overset{→}{F}=F_x \: \overset{→}{u}_x  avec  Fx=λq4πε0cos(θ)R2+x2d𝓁\displaystyle F_x=\frac{λ \:q}{4π \,ε_0} \, ∫ \frac{\cos(θ)}{R^2+x^2} \, d𝓁   où   cos(θ)=xR2+x2\displaystyle \cos(θ)=\frac{x}{\sqrt{R^2+x^2}}   et   d𝓁=2πR∫ d𝓁=2π \:R .  On obtient ainsi :  Fx=λq2ε0xR(R2+x2)3/2=Qq4πε0x(R2+x2)3/2\displaystyle F_x=\frac{λ \:q}{2 \,ε_0} \,\frac{x \:R\quad}{\left(R^2+x^2 \right)^{3/2}} =\frac{Q \:q}{4π \:ε_0} \,\frac{x\quad}{\left(R^2+x^2 \right)^{3/2}} .
◊ remarque : quand  xx→∞  on retrouve  Fx14πε0Qqx2\displaystyle F_x≈\frac{1}{4π \:ε_0}\, \frac{Q \:q}{x^2}  ,  ce qui correspond à négliger l'étendue spatiale de l'anneau en comparaison de la distance de la charge qq .


IV. Champ d'un segment chargé

1.a. • L'effet causé en MM par une charge infinitésimale  dqdq  du fil, placée en PP , est dans la direction de PM\overset{→}{PM} , donc dans le plan défini par MM et l'axe (Oz)(Oz) portant le fil. La somme des contributions des différentes charges du fil est donc aussi dans ce plan, dont (ur,uz)\left(\overset{→}{u}_r \, , \overset{→}{u}_z \right) est une base.
◊ remarque : on peut aussi considérer que la distribution de charge est invariante par symétrie par rapport au plan défini par MM et le fil ; MM aussi étant invariant dans cette symétrie, E(M)\overset{→}{E}(M) aussi doit être invariant, donc  Eθ=0E_θ=0 .
• Par ailleurs, la répartition de charge est invariante dans une rotation d'angle θθ selon l'axe (Oz)(Oz), donc dans cette transformation le champ E\overset{→}{E} doit simplement tourner comme le point MM. Ceci impose que Er(r,θ,z)E_r (r,θ,z)  et  Ez(r,θ,z)E_z (r,θ,z) ne dépendent pas de θθ (l'effet de la rotation se limite à la rotation de ur(θ)\overset{→}{u}_r (θ) ).
◊ remarque : soit MM' le point déduit de MM dans une rotation d'axe (Oz)(Oz) et d'angle θθ , on peut aussi comparer E(M)\overset{→}{E}(M)  et  E(M)\overset{→}{E}(M') qui doivent être symétriques par rapport au plan bissecteur (le schéma ci-contre n'indique qu'un exemple ; le sens des vecteurs dépend des cas).

elecStatique_cor_Im/elecStatique_cor_Im1.jpg


1.b. • En notant  ρ=PMρ=PM  et  uρ=PMPM\displaystyle \overset{→}{u}_ρ=\frac{\overset{⟶}{PM}}{PM}  on obtient :  E=14πε0λρ2uρd𝓁=λ04πε01+αz2L2r2+z2uρdz\displaystyle \overset{→}{E}=\frac{1}{4π \:ε_0} \, ∫ \,\frac{λ}{ρ^2} \: \overset{→}{u}_ρ \: d𝓁=\frac{λ_0}{4π \:ε_0} \, ∫ \;\frac{1+α \,\frac{z^2}{L^2} }{r^2+z^2 } \, \overset{→}{u}_ρ \:dz .


2.a.
• En se limitant au plan d'équation  z=0z=0 ,  il n'y a plus de dépendance par rapport à la coordonnée zz du point MM .
• Par ailleurs, la répartition de charges et le point MM sont symétriques par rapport à ce plan, donc le champ E(M)\overset{→}{E}(M) doit l'être aussi ; ainsi :  E(M)=Er(r)ur\overset{→}{E}(M)=E_r (r) \;\overset{→}{u}_r .
◊ remarque : on peut aussi considérer que toute composante perpendiculaire à l'axe (Or)(Or) est forcément compensée par l'action de la charge dqdq' symétrique de dqdq par rapport à l'axe (Or)(Or).

elecStatique_cor_Im/elecStatique_cor_Im2.jpg


2.b. • La composante radiale s'obtient par projection :  Er(r)=EurE_r (r)=\overset{→}{E}∙\overset{→}{u}_r .  Avec  uρur=cos(φ)=rρ\displaystyle \overset{→}{u}_ρ∙\overset{→}{u}_r=\cos(φ)=\frac{r}{ρ}  on obtient ainsi :  Er(r)=λ0r4πε0L/2L/21+αz2L2(r2+z2)3/2dz\displaystyle E_r (r)=\frac{λ_0 \: r}{4π \:ε_0} \, ∫_{-L/2}^{L/2} \; \frac{1+α \,\frac{z^2}{L^2} \;}{\left(r^2+z^2 \right)^{3/2}} \; dz .


2.c. • On peut séparer :  Er=λ0r4πε0L/2L/21(r2+z2)3/2dz+λ0r4πε0αL2L/2L/2z2(r2+z2)3/2dz\displaystyle E_r=\frac{λ_0 \: r}{4π \:ε_0} \, ∫_{-L/2}^{L/2} \: \frac{1\quad}{\left(r^2+z^2 \right)^{3/2}} \; dz+\frac{λ_0 \: r}{4π \:ε_0} \,\frac{α}{L^2} \, ∫_{-L/2}^{L/2} \,\frac{z^2\;}{\left(r^2+z^2 \right)^{3/2}} \; dz  ;  il n'y a hélas pas de primitives évidentes.
• On peut chercher par différentes méthodes (par exemple l'intégration par parties), mais le changement de variables pour la trigonométrie est souvent efficace :

cos(φ)=rρ\displaystyle \cos(φ)=\frac{r}{ρ}  ;   tan(φ)=zr\displaystyle \tan(φ)=\frac{z}{r}  ;   r2+z2=r2.(1+tan2(φ))=r2cos2(φ)\displaystyle r^2+z^2=r^2 .\left(1+\tan^2(φ) \right)=\frac{r^2}{\cos^2(φ)}   ;   dz=rcos2(φ)dφ\displaystyle dz=\frac{r}{\cos^2(φ)} \: dφ  ;
=L/2L/21(r2+z2)3/2dz=1r2arctan(L/2r)arctan(L/2r)cos(φ)dφ=1r2[sin(φ)]arctan(L/2r)arctan(L/2r)=2r2L4r2+L2\displaystyle ℐ=∫_{-L/2}^{L/2} \: \frac{1}{\left(r^2+z^2 \right)^{3/2}} \; dz=\frac{1}{r^2} \, ∫_{-\mathrm{arctan}(L/2r)}^{\mathrm{arctan}(L/2r)} \cos⁡(φ) \: dφ=\frac{1}{r^2} \: \left[\sin(φ) \right]_{-\mathrm{arctan}(L/2r)}^{\;\;\mathrm{arctan}(L/2r)} =\frac{2}{r^2} \, \frac{L}{\sqrt{4 \,r^2+L^2}} .
• Certains cas peuvent aussi se résoudre par la trigonométrie hyperbolique :

sinh(ξ)=zr\displaystyle \sinh(ξ)=\frac{z}{r}  ;   r2+z2=r2.(1+sinh2(ξ))=r2.cosh2(ξ)r^2+z^2=r^2 .\left(1+\sinh^2(ξ) \right)=r^2 . \cosh^2(ξ)  ;   dz=rcosh(ξ)dξdz=r \: \cosh(ξ) \: dξ  ;
𝒥=L/2L/2z2(r2+z2)3/2dz=L/2L/21r2+z2dzr2\displaystyle 𝒥=∫_{-L/2}^{L/2} \, \frac{z^2}{\left(r^2+z^2 \right)^{3/2}} \: dz=∫_{-L/2}^{L/2} \:\frac{1}{\sqrt{r^2+z^2}} \: dz-r^2 \; ℐ  ;
L/2L/21r2+z2dz=arsinh(L/2r)arsinh(L/2r)dξ=2arsinh(L2r)\displaystyle ∫_{-L/2}^{L/2} \, \frac{1}{\sqrt{r^2+z^2}} \: dz=∫_{-\mathrm{arsinh}(L/2r)}^{\mathrm{arsinh}(L/2r)} dξ=2 \; \mathrm{arsinh}\left(\frac{L}{2\,r}\right)   ;   𝒥=2arsinh(L2r)2L4r2+L2\displaystyle 𝒥=2 \; \mathrm{arsinh}\left(\frac{L}{2\,r}\right)-2 \, \frac{L}{\sqrt{4 \,r^2+L^2}}  ;
Er=λ02πε0r(1αr2L2)L4r2+L2+λ0r2πε0αL2arsinh(L2r)\displaystyle E_r=\frac{λ_0}{2π \:ε_0 \: r} \: \left(1-α \,\frac{r^2}{L^2} \right) \, \frac{L}{\sqrt{4 \,r^2+L^2}}+\frac{λ_0 \: r}{2π \:ε_0} \,\frac{α}{L^2} \; \mathrm{arsinh}\left(\frac{L}{2\,r}\right) .
◊ remarque : le plus important n'est pas de savoir ainsi exprimer littéralement le résultat, mais de savoir écrire quelles intégrales il faut calculer, quitte à terminer la résolution (éventuellement numériquement) à l'aide d'un ordinateur.


V. Champ d'un disque chargé

1.a. • Pour tout point MM hors de l'axe (Ox)(Ox), le point MM et l'axe déterminent un plan (M,ur,ux)(M, \overset{→}{u}_r \, , \overset{→}{u}_x). La répartition des charges est symétrique par rapport à ce plan. Le champ en MM doit donc être invariant dans cette symétrie, donc parallèle à ce plan :  E(M)=Er(r,θ,x)ur+Ex(r,θ,x)ux\overset{→}{E}(M)=E_r (r,θ,x) \:\overset{→}{u}_r+E_x (r,θ,x) \:\overset{→}{u}_x .
• Par ailleurs, la répartition de charge est invariante dans une rotation d'angle θθ selon l'axe (Ox)(Ox), donc dans cette transformation le champ E\overset{→}{E} doit simplement tourner comme le point MM . Ceci impose que Er(r,θ,x)E_r (r,θ,x)  et  Ex(r,θ,x)E_x (r,θ,x) ne dépendent pas de θθ (l'effet de la rotation se limite à la rotation de ur(θ)\overset{→}{u}_r (θ) ).
◊ remarque : soit MM' le point déduit de MM dans une rotation d'axe (Ox)(Ox) et d'angle θθ , on peut aussi comparer E(M)\overset{→}{E}(M) et E(M)\overset{→}{E}(M') qui doivent être symétriques par rapport au plan bissecteur (le schéma ci-contre n'indique qu'un exemple ; le sens des vecteurs dépend des cas).

elecStatique_cor_Im/elecStatique_cor_Im1.jpg


1.b. • La difficulté pour calculer en coordonnées polaires tient au fait que PP (angle θθ ) portant des charges n'est en général pas dans le plan défini par MM et l'axe (Ox)(Ox), choisi comme origine des angles.
• On peut utiliser des coordonnées intermédiaires cartésiennes (Oy)(Oy) vers le haut et (Oz)(Oz) vers l'avant :  M[x,y=r,z=0]M \:\left[x \, ,y=r \, ,z=0\right]  ;  P[x=0,y=rcos(θ),z=rsin(θ)]P \:\left[x'=0 \, ,y'=r'\,\cos(θ) \, ,z'=r'\,\sin(θ)\right] .  Ceci permet de calculer  ρ=PMρ=PM  et  uρ=PMPM\displaystyle \overset{→}{u}_ρ=\frac{\overset{→}{PM}}{PM}  puis d'intégrer les charges sur  dS=rdθdrdS=r' \,dθ \;dr' :  E=14πε0σρ2uρdS\displaystyle \overset{→}{E}=\frac{1}{4π \:ε_0} \, ∬ \,\frac{σ}{ρ^2} \: \overset{→}{u}_ρ \; dS .


2.a. • En se limitant à l'axe (Ox)(Ox), il n'y a plus de dépendance par rapport à la coordonnée rr du point MM puisqu'elle reste nulle.
• Par ailleurs, la répartition de charges et le point MM sont symétriques par rapport à l'axe, donc le champ E(M)\overset{→}{E}(M) doit l'être aussi ; ainsi :  E(M)=Ex(x)ux\overset{→}{E}(M)=E_x (x) \:\overset{→}{u}_x .


2.b. • Puisque dans ce cas  ρ2=r2+x2ρ^2={r'}^2+x^2  ne dépend plus de θθ , on obtient :

E=14πε0σρ2uρdS=σ04πε0R02πdθ0RR2rρ2uρrdr=σ02ε0R0RR2rρ2uρrdr\displaystyle \overset{→}{E}=\frac{1}{4π \:ε_0} \, ∬ \frac{σ}{ρ^2} \, \overset{→}{u}_ρ \: dS=\frac{σ_0}{4π \:ε_0 \: R} \, ∫_0^{2π} dθ \quad ∫_0^R \frac{R-2 \,r'}{ρ^2} \: \overset{→}{u}_ρ \: r' \:dr'=\frac{σ_0}{2 \,ε_0 \: R} \, ∫_0^R \frac{R-2 \,r'}{ρ^2} \:\overset{→}{u}_ρ \: r' \:dr' .
• La composante axiale s'obtient par projection :  Ex(x)=EuxE_x (x)=\overset{→}{E}∙\overset{→}{u}_x .  Avec  uρux=cos(φ)=rρ\displaystyle \overset{→}{u}_ρ∙\overset{→}{u}_x=\cos(φ)=\frac{r'}{ρ}  on obtient ainsi :  Ex(x)=σ02ε0R0RR2rρ3r2dr\displaystyle E_x (x)=\frac{σ_0}{2 \,ε_0 \: R} \, ∫_0^R \frac{R-2 \,r'}{ρ^3} \: {r'}^2 \: dr' .


2.c. • On peut séparer :  Ex=σ02ε00Rr2(r2+x2)3/2drσ0ε0R0Rr3(r2+x2)3/2dr\displaystyle E_x=\frac{σ_0}{2 \,ε_0} \, ∫_0^R \frac{{r'}^2}{\left({r'}^2+x^2 \right)^{3/2}} \: dr'-\frac{σ_0}{ε_0 \: R} \, ∫_0^R \frac{{r'}^3}{\left({r'}^2+x^2 \right)^{3/2}} \: dr'  ;  il n'y a hélas pas de primitives évidentes.
• On peut chercher par différentes méthodes ; par exemple l'intégration par parties permet de simplifier la première intégrale :  =0Rr2(r2+x2)3/2dr=0R1r2+x2drRR2+x2\displaystyle ℐ=∫_0^R \frac{{r'}^2}{\left({r'}^2+x^2 \right)^{3/2}} \: dr'=∫_0^R \frac{1}{\sqrt{{r'}^2+x^2}} \: dr'-\frac{R}{\sqrt{R^2+x^2}} .
• Un changement de variables pour la trigonométrie hyperbolique est ensuite efficace :

sinh(ξ)=rx\displaystyle \sinh(ξ)=\frac{r'}{x}  ;   r2+x2=x2.(1+sinh2(ξ))=x2cosh2(ξ){r'}^2+x^2=x^2 .\left(1+\sinh^2(ξ) \right)=x^2 \: \cosh^2(ξ)  ;  dr=xcosh(ξ)dξdr'=x \: \cosh(ξ) \: dξ  ;
=0R1r2+x2dr=0arsinh(R/x)dξ=arsinh(Rx)\displaystyle ℐ'=∫_0^R \frac{1}{\sqrt{{r'}^2+x^2}} \: dr'=∫_0^{\mathrm{arsinh}(R/x)} dξ=\mathrm{arsinh}\left(\frac{R}{x}\right) .
• L'autre terme se simplifie par changement de variable :

r2+x2=ρ2{r'}^2+x^2=ρ^2  ;  rdr=ρdρr' \:dr'=ρ \:dρ  ;
𝒥=0Rr3(r2+x2)3/2dr=0Rρ2ρ3rdrx20R1ρ3rdr=x2R2+x2dρx2x2R2+x21ρ2dρ\displaystyle 𝒥=∫_0^R \frac{{r'}^3}{\left({r'}^2+x^2 \right)^{3/2}} \: dr'=∫_0^R \frac{ρ^2}{ρ^3} \: r' \:dr'-x^2 \,∫_0^R \frac{1}{ρ^3} \: r' \:dr'=∫_{\sqrt{x^2}}^{\sqrt{R^2+x^2}} dρ-x^2 \,∫_{\sqrt{x^2}}^{\sqrt{R^2+x^2}} \frac{1}{ρ^2} \: dρ  ;
𝒥=(R2+x2x2)+x2.(1R2+x21x2)\displaystyle 𝒥=\left(\sqrt{R^2+x^2}-\sqrt{x^2}\right)+x^2.\left(\frac{1}{\sqrt{R^2+x^2}}-\frac{1}{\sqrt{x^2}}\right)  ;
Ex=σ02ε0arsinh(Rx)σ02ε0R(3R2+4x2R2+x24x2x2)\displaystyle E_x=\frac{σ_0}{2 \,ε_0} \:\mathrm{arsinh}\left(\frac{R}{x}\right)-\frac{σ_0}{2 \,ε_0 \: R} \: \left(\frac{3 \,R^2+4 \,x^2}{\sqrt{R^2+x^2}}-\frac{4 \,x^2}{\sqrt{x^2}}\right) .
◊ remarque : le plus important n'est pas de savoir ainsi exprimer littéralement le résultat, mais de savoir écrire quelles intégrales il faut calculer, quitte à terminer la résolution (éventuellement numériquement) à l'aide d'un ordinateur.


VI. Gradient par rapport aux coordonnées d'un point


• Par définition :  dV(M1,M2)=1VdOM1+2VdOM2dV(M_1 ,M_2)=\overset{→}{∇}_1 V∙d\overset{→}{OM}_1+\overset{→}{∇}_2 V∙d\overset{→}{OM}_2 .  Mais puisque  V(M1,M2)=V(r)V(M_1 ,M_2)=V(r)  on peut écrire :  dV=dV(r)=Vrdr=Vr[1rdOM1+2rdOM2]\displaystyle dV=dV(r)=\frac{∂V}{∂r} \, dr=\frac{∂V}{∂r} \: \left[ \overset{→}{∇}_1 r∙d\overset{→}{OM}_1+\overset{→}{∇}_2 r∙d\overset{→}{OM}_2 \right] .
• Ce dernier terme peut être calculé avec :  r2=(x2x1)2+(y2y1)2+(z2z1)2 r^2=(x_2-x_1)^2+(y_2-y_1)^2+(z_2-z_1)^2  d’où on déduit :

2rdr=2(x1x2)dx1+2(y1y2)dy1+2(z1z2)dz12 \,r \:dr=2 \,(x_1-x_2 )\:dx_1+2 \,(y_1-y_2 )\:dy_1+2 \:(z_1-z_2 )\:dz_1⋯

+2(x2x1)dx2+2(y2y1)dy2+2(z2z1)dz2+2 \,(x_2-x_1) \:dx_2+2 \,(y_2-y_1) \:dy_2+2 \,(z_2-z_1) \:dz_2 .
• Par comparaison, on en déduit (en coordonnées cartésiennes) :  1r=M1M2r\displaystyle \overset{→}{∇}_1 r=-\frac{\overset{→}{M_1 M_2}}{r}  (vecteur unitaire orienté de M2M_2 vers M1M_1) et de même :  2r=M2M1r\displaystyle \overset{→}{∇}_2 r=-\frac{\overset{→}{M_2 M_1}}{r}  (vecteur opposé au précédent).
• Finalement :  1V=VrM1M2r=2V\displaystyle \overset{→}{∇}_1 V=-\frac{∂V}{∂r} \, \frac{\overset{→}{M_1 M_2}}{r}=-\overset{→}{∇}_2 V .


VII. Champ d'un segment uniformément chargé

1. • Les segments infinitésimaux  d𝓁d𝓁  et  d𝓁d𝓁' sont “vus” du point MM dans la même direction (on les considère comme quasi-ponctuels) et du même côté ; par ailleurs leurs charges sont de même signe ; ils créent donc des champs qui ne peuvent éventuellement différer que par leur norme.
• Le champ créé par d𝓁d𝓁 a pour mesure algébrique (selon la direction orientée de d𝓁d𝓁 vers MM ) :

dE=λd𝓁4πε0(rcos(θ))2=λcos2(θ)d𝓁4πε0r2\displaystyle dE=\frac{λ \:d𝓁}{4π \:ε_0 \: \left(\frac{r}{\cos(θ)} \right)^2}=\frac{λ \:\cos^2(θ) \: d𝓁}{4π \:ε_0 \: r^2} .
• Le champ créé par d𝓁d𝓁' a pour mesure algébrique :  dE=λd𝓁4πε0r2\displaystyle dE'=\frac{λ \:d𝓁'}{4π \:ε_0 \: r^2} .  Mais  d𝓁=d𝓁cos2(θ)d𝓁'=d𝓁 \: \cos^2(θ)  (il faut multiplier d𝓁d𝓁 par cos(θ)\cos(θ) pour projeter sur la direction tangente au cercle qui passe par la position de d𝓁d𝓁 , puis multiplier par cos(θ)\cos(θ) pour tenir compte du rapport des rayons). Par conséquent  dE=dEdE=dE'  et les champs infinitésimaux sont égaux.

2. • D'après la symétrie de l'arc AmB\overset{\frown}{AmB}, le champ qu'il crée est parallèle à la bissectrice de l'angle AMB^\widehat{AMB} (toute contribution à droite de cette bissectrice est compensée par une contribution de l'élément symétrique). Compte tenu de la question (1), il en est de même pour le champ créé par le segment FFF'F .
• Considérons l'intersection d'une surface équipotentielle avec le plan de la figure : la courbe équipotentielle ainsi obtenue est perpendiculaire au champ, donc perpendiculaire à la bissectrice de l'angle FMF^\widehat{F'MF} . Par suite la courbe équipotentielle est une ellipse de foyers FF' et FF ; les surfaces équipotentielles sont donc des ellipsoïdes de révolution, de foyers FF' et FF .

3. • La contribution de  d𝓁d𝓁  au potentiel en MM est :  dV=λcos(θ)d𝓁4πε0r\displaystyle dV=\frac{λ \:\cos(θ) \: d𝓁}{4π \:ε_0 \: r}  donc :

V=λ4πε0rcos(θ)d𝓁=λ4πε0rd𝓁cos(θ)=λ4πε0dθcos(θ)\displaystyle V=\frac{λ}{4π \:ε_0 \: r} \, ∫ \cos(θ) \: d𝓁=\frac{λ}{4π \:ε_0 \: r} \, ∫ \frac{d𝓁'}{\cos(θ)} =\frac{λ}{4π \:ε_0} \, ∫ \frac{dθ}{\cos(θ)} .
◊ remarque : d𝓁d𝓁' ne donne pas la même contribution au potentiel que d𝓁d𝓁 , donc ne peut pas être utilisé directement pour calculer VV (contrairement au cas du champ), mais cela n'interdit pas d'utiliser d𝓁 d𝓁' dans le calcul (il s'agit uniquement d'un changement de variable).
• La valeur du potentiel sur une équipotentielle peut être calculé en n'importe lequel de ses points, en particulier en un point de la médiatrice de FFF'F . En notant  α=arcsin(ca)\displaystyle α=\arcsin\left(\frac{c}{a}\right)  l'angle sous lequel on “voit” une moitié de FFF'F depuis le point MM de la médiatrice, on obtient :  V=λ2πε00αdθcos(θ)\displaystyle V=\frac{λ}{2π \:ε_0} \, ∫_0^α \frac{dθ}{\cos(θ)} .
elecStatique_cor_Im/elecStatique_cor_Im4.jpg
• On peut alors écrire, en posant  u=sin(θ)u=\sin(θ) :

0αdθcos(θ)=0c/adu1u2=120c/adu1u+120c/adu1+u=12ln(a+cac)\displaystyle ∫_0^α \frac{dθ}{\cos(θ)} =∫_0^{c/a} \frac{du}{1-u^2}=\frac{1}{2} \,∫_0^{c/a} \frac{du}{1-u}+\frac{1}{2} \,∫_0^{c/a} \frac{du}{1+u}=\frac{1}{2} \: \ln⁡\left(\frac{a+c}{a-c}\right)
et par suite :  V=λ4πε0ln(a+cac)\displaystyle V=\frac{λ}{4π \:ε_0} \: \ln\left(\frac{a+c}{a-c}\right) .
◊ remarque : on peut aussi calculer le potentiel en un sommet ; on obtient alors :

V=λ4πε0ccd𝓁a𝓁=λ4πε0ln(a+cac)\displaystyle V=\frac{λ}{4π \:ε_0} \, ∫_{-c}^c \frac{d𝓁}{a-𝓁}=\frac{λ}{4π \:ε_0} \: \ln\left(\frac{a+c}{a-c}\right) .


VIII. Identité de Gauss


• Les potentiels sont :  Vi=14πε0jiqirij\displaystyle V_i=\frac{1}{4π \:ε_0} \, ∑_{j≠i} \, \frac{q_i}{r_{ij}}  puis dans le second cas :  Vi=14πε0jiqirij\displaystyle V'_i=\frac{1}{4π \:ε_0} \, ∑_{j≠i} \, \frac{q'_i}{r_{ij}} .
• Par suite :  qiVi=14πε0ijiqiqjrij=qiVi\displaystyle ∑ \,q_i \: V'_i=\frac{1}{4π \:ε_0} \, ∑_i ∑_{j≠i} \frac{q_i \: q'_j}{r_{ij}} =∑ \,q'_i \: V_i .



B. EXERCICES D'APPROFONDISSEMENT

IX. Champ d'un disque chargé

1.a. • Pour tout point MM hors de l'axe (Ox)(Ox), le point MM et l'axe déterminent un plan (M,ur,ux)(M, \overset{→}{u}_r \, , \overset{→}{u}_x) . La répartition des charges est symétrique par rapport à ce plan. Le champ en MM doit donc être invariant dans cette symétrie, donc parallèle à ce plan :  E(M)=Er(r,θ,x)ur+Ex(r,θ,x)ux\overset{→}{E}(M)=E_r (r,θ,x)\: \overset{→}{u}_r+E_x (r,θ,x)\: \overset{→}{u}_x .
• Par ailleurs, la répartition de charge est invariante dans une rotation d'angle θθ selon l'axe (Ox)(Ox), donc dans cette transformation le champ E\overset{→}{E} doit simplement tourner comme le point MM . Ceci impose que Er(r,θ,x)E_r (r,θ,x)  et  Ex(r,θ,x)E_x (r,θ,x) ne dépendent pas de θθ (l'effet de la rotation se limite à la rotation de ur(θ)\overset{→}{u}_r (θ) ).
◊ remarque : soit MM' le point déduit de MM dans une rotation d'axe (Ox)(Ox) et d'angle θθ , on peut aussi comparer E(M)\overset{→}{E}(M) et E(M)\overset{→}{E}(M') qui doivent être symétriques par rapport au plan bissecteur (le schéma ci-contre n'indique qu'un exemple ; le sens des vecteurs dépend des cas).

elecStatique_cor_Im/elecStatique_cor_Im1.jpg


1.b. • La difficulté pour calculer en coordonnées polaires tient au fait que PP (angle θθ ) portant des charges n'est en général pas dans le plan défini par MM et l'axe (Ox)(Ox), choisi comme origine des angles.
• On peut utiliser des coordonnées intermédiaires cartésiennes (Oy)(Oy) vers le haut et (Oz)(Oz) vers l'avant :  M[x,y=r,z=0] M \:\left[x \,,y=r \,,z=0\right]  ;  P[x=0,y=rcos(θ),z=rsin(θ)]P \:\left[x'=0 \,,y'=r' \,\cos(θ) \, ,z'=r' \,\sin(θ)\right] .  Ceci permet de calculer  ρ=PMρ=PM  et  uρ=PMPM\displaystyle \overset{→}{u}_ρ=\frac{\overset{→}{PM}}{PM}  puis d'intégrer les charges sur  dS=rdθdrdS=r' \:dθ \;dr' :  E=14πε0σρ2uρdS\displaystyle \overset{→}{E}=\frac{1}{4π \:ε_0} \, ∬ \frac{σ}{ρ^2} \: \overset{→}{u}_ρ \: dS .
• On obtient ainsi : Ex=σ4πε002π(0Rxr(x2+[rrcos(θ)]2+[rsin(θ)]2)3/2dr)dθ\displaystyle E_x=\frac{σ}{4π \:ε_0} \, ∫_0^{2π} \left(∫_0^R \frac{x \:r'}{\left(x^2+[r-r'\,\cos(θ) ]^2+[r' \,\sin(θ) ]^2 \right)^{3/2}} \;dr'\right) \: dθ  ;
Er=σ4πε002π(0R[rrcos(θ)]r(x2+[rrcos(θ)]2+[rsin(θ)]2)3/2dr)dθ\displaystyle E_r=\frac{σ}{4π \:ε_0} \, ∫_0^{2π} \left(∫_0^R \frac{[r-r'\,\cos(θ) ] \: r'}{\left(x^2+[r-r'\,\cos(θ) ]^2+[r'\,\sin(θ) ]^2 \right)^{3/2}}\; dr'\right) \: dθ .


2.a. • L'intégration numérique donne pour ExE_x les graphiques suivants (avec  λ=4πε0σ\displaystyle λ=\frac{4π \:ε_0}{σ} ).
elecStatique_cor_Im/Ex.jpg

• Au plus près du disque  ( xR=0,01\displaystyle \frac{x}{R}=\text{0,01}  en trait plein) la composante axiale du champ est quasi-uniforme à proximité  (r<Rr<R )  et quasi-nulle à l'écart  (r>Rr>R ).  Cette caractéristique s'atténue en s'éloignant du disque (tirets, puis pointillés), mais reste vérifiée en bonne première approximation.
• La modélisation “classique” semble donc tout à fait valable à ce niveau.


2.b. • L'intégration numérique donne pour ErE_r les graphiques suivants.

elecStatique_cor_Im/Er.jpg

• La composante radiale est surtout importante au “voisinage” du bord, comme le suggère la modélisation “classique”, mais n'est par contre pas du tout négligeable dès qu'on s'écarte de l'axe (30%≈30 \:%  pour  rR2\displaystyle r≈\frac{R}{2} ).  Qui plus est, ce problème ne diminue pas au plus près du disque : il est quasi-indépendant de xx (sauf au voisinage du bord, où il s'accentue pour xx faible).
• La modélisation “classique” semble donc très approximative à ce niveau.


3. • Dans un tel dispositif, la symétrie fait que les composantes radiales se compensent dans le plan médian, donnant un champ parallèle à l'axe et quasi uniforme.

elecStatique_cor_Im/elecStatique_cor_Im5.jpg

• Mais en outre, puisque dans cette zone les composantes radiales ne dépendent pratiquement pas de xx , le champ y reste quasi uniforme presque partout (sauf aux bords).
• La modélisation “classique”, bien que n'étant qu'une grossière approximation pour le cas d'une plaque, est une bonne approximation pour ce cas ; c'est ce qui en justifie l'utilisation, mais il est vrai que cela nécessite quelques précisions si on veut éviter une mauvaise compréhension et de regrettables illusions.
◊ remarque : en pratique, le modèle utilisé pour construire un champ uniforme est plus souvent celui de condensateur plan, dont les plaques sont conductrices ; cela implique un champ réellement axial à la surface des armatures (une composante radiale provoquerait des déplacements des charges), donc la répartition des charges ne peut pas être exactement uniforme (mais c'est un autre problème).


X. Champ d'un disque chargé

1.a. • Le champ électrique (selon lequel décroît le potentiel) est dans l'orientation “fuyant” la zone chargée. Si la répartition était uniforme, l'orientation aux bords du disque ne pourrait être que décalée en s'éloignant de l'axe. Cela impliquerait une composante radiale du champ, qui provoquerait un déplacement de charge vers la périphérie du disque (conducteur). Pour obtenir une situation stable, la densité est plus grande au bord, ce qui permet un champ électrique normal et un potentiel de surface uniforme (le conducteur doit être équipotentiel). L'invariance par rotation axiale impose que  σ=σ(r)σ = σ(r')  ne dépend pas de θθ .


1.b. • De même le potentiel ne dépend pas de θθ :  V=V(r,x)V=V(r,x) .


1.c. • La difficulté pour calculer en coordonnées polaires tient au fait que PP (angle θθ ) portant des charges n'est en général pas dans le plan défini par MM et l'axe (Ox)(Ox), choisi comme origine des angles.
• On peut utiliser des coordonnées intermédiaires cartésiennes (Oy)(Oy) vers le haut et (Oz)(Oz) vers l'avant :  M[x,y=r,z=0]M \:\left[x \,,y=r \,,z=0\right]  ;  P[x=0,y=rcos(θ),z=rsin(θ)]P \:\left[x'=0 \,,y'=r'\:\cos(θ) \,,z'=r'\:\sin(θ)\right] .  Ceci permet de calculer  ρ=PMρ=PM  et  uρ=PMPM\displaystyle \overset{→}{u}_ρ=\frac{\overset{→}{PM}}{PM}  puis d'intégrer les charges sur  dS=rdθdrdS=r' \:dθ \;dr' :

V=14πε0σρdS=14πε002π(0Rσ(r)rx2+[rrcos(θ)]2+[rsin(θ)]2dr)dθ\displaystyle V=\frac{1}{4π \:ε_0}\, ∬ \frac{σ}{ρ} \: dS=\frac{1}{4π \:ε_0} \,∫_0^{2π} \left(∫_0^R \frac{σ(r') \; r'}{\sqrt{x^2+[r-r'\:\cos(θ) ]^2+[r' \:\sin(θ) ]^2}} \: dr' \right)\: dθ .
• En particulier en surface du disque :  V=14πε002π(0Rσ(r)r[rrcos(θ)]2+[rsin(θ)]2dr)dθ\displaystyle V=\frac{1}{4π \:ε_0} \,∫_0^{2π} \left(∫_0^R \frac{σ(r') \; r'}{\sqrt{[r-r'\:\cos(θ) ]^2+[r' \:\sin(θ) ]^2}} \: dr' \right)\: dθ


2.a. • En utilisant  σ(r)4πε0=c0+c1r+c2r2+\displaystyle \frac{σ(r)}{4π \:ε_0}=c_0+c_1 \: r+c_2 \: r^2+⋯  le développement du potentiel se ramène aux intégrales :  n(r)=02π(0R(r)n+1[rrcos(θ)]2+[rsin(θ)]2dr)dθ\displaystyle ℐ_n (r)=∫_0^{2π} \left(∫_0^R \frac{{(r')}^{n+1}}{\sqrt{[r-r' \:\cos(θ) ]^2+[r' \:\sin(θ) ]^2}} \: dr' \right)\; dθ .


2.b. • On calcule numériquement  V(ri)V(r_i)  pour une suite régulière de rir_i dans l'intervalle  [0;R]\left[0 \,; R\right] .
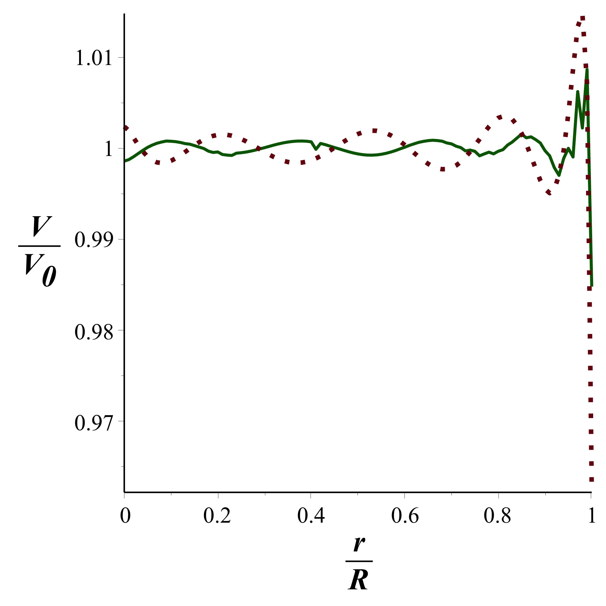
• L'ajustement de  V=CsteV=Cste  peut se faire en minimisant  i[V(ri)V0]2∑_i \left[V(r_i)-V_0 \right]^2  (estimation de l'intégrale correspondante) où V0V_0 est une valeur constante supposée imposée.
• La série de termes converge hélas mal ; le développement à l'ordre 23, représenté en valeur relative  V(r)V0\displaystyle \frac{V(r)}{V_0}   montre une concordance de  V=CsteV=Cste  avec une précision globale meilleure que 0,5%\text{0,5} \:% (pour préciser l'efficacité de la méthode, l'ajustement limité à l'ordre 15  est reporté en pointillés ; un peu moins bon, mais déjà correct).

elecStatique_cor_Im/potentiel-1.jpg

On y voit que c'est la zone périphérique (où s'accumulent le plus de charges) qui est la plus difficile à décrire. Il y apparait qu'il serait vain de poursuivre à des ordres plus élevés car les fluctuations aléatoires associées aux arrondis dans les intégrations numériques compliquées deviennent rédhibitoires.
◊ remarque : au delà, le minimiseur peut alors converger (selon les conditions initiales de l'ajustement) vers différentes solutions dont certaines sont visiblement physiquement absurdes (par exemple avec plusieurs zones comportant des charges de signes contraires).


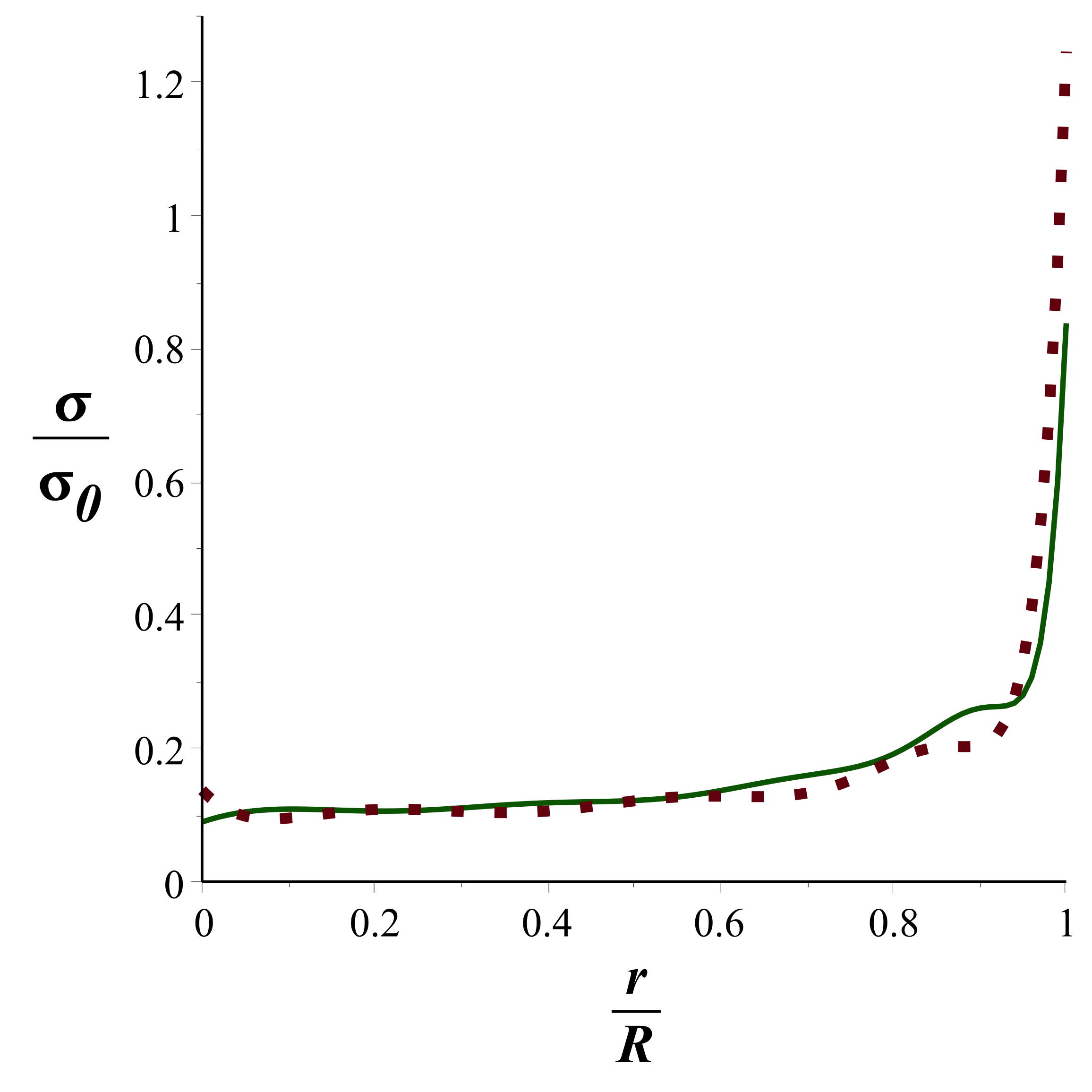
2.c. • On obtient ainsi pour σ(r)σ(r) la courbe suivante (le développement limité à l'ordre 15, en pointillés, donne une répartition comparable).

elecStatique_cor_Im/sigma-1.jpg

• Bien que les courbes obtenues présentent des variations locales dues à l'ajustement de précision modeste, il y apparait clairement que la distribution des charges est loin d'être uniforme : l'éventuelle modélisation par un disque uniformément chargé semblerait un peu fantaisiste.
◊ remarque : dans une boule, le théorème de Gauss aboutit à une charge totalement déplacée en surface ; ici la répartition est “seulement” très piquée en périphérie car une partie du flux électrostatique “sort du plan du disque par les côtés”.


3.a. • En utilisant  σ(r)4πε0=ncnH(rrn)\displaystyle \frac{σ(r)}{4π \:ε_0}=∑_n \,c_n \: \mathrm{H}(r-r_n )  le développement du potentiel se ramène aux intégrales :  𝒥n(r)=02π(rnR(r)n+1[rrcos(θ)]2+[rsin(θ)]2dr)dθ\displaystyle 𝒥_n (r)=∫_0^{2π} \left(∫_{r_n}^R \,\frac{{(r')}^{n+1}}{\sqrt{[r-r' \:\cos(θ) ]^2+[r' \:\sin(θ) ]^2}} \: dr' \right)\; dθ .


3.b. ◊ remarque : connaissant l'allure de la répartition σ(r)σ(r) on choisit un pas de calcul plus fin en périphérie ; les points où sont calculées les valeurs V(r)V(r) pour l'ajustement doivent être en outre plus resserrées que ceux du découpage rkr_k .
• La série de termes donne une description plus efficace ; pour une partition en 24 intervalles, la représentation en valeur relative  V(r)V0\displaystyle \frac{V(r)}{V_0}  montre une concordance de  V=CsteV=Cste  avec une précision globale quasi parfaite jusqu'à  rR=0,9\displaystyle \frac{r}{R}=\text{0,9}  (pour préciser l'efficacité de la méthode, l'ajustement pour une partition en 18 intervalles est reporté en pointillés ; à peine moins bon).

elecStatique_cor_Im/potentiel-2.jpg

On y voit que c'est ici encore la zone périphérique (où s'accumulent le plus de charges) qui est la plus difficile à décrire (il serait vain de poursuivre avec un découpage plus fin car les fluctuations aléatoires associées aux arrondis dans les intégrations numériques, même si elles perturbent moins, deviennent rédhibitoires).

Principalement, le minimiseur peut ici converger (selon les conditions initiales de l'ajustement) vers des solutions légèrement différentes (près de la périphérie) mais toujours très comparables (on y gagne un peu en précision et énormément de “stabilité”, ce qui est fondamental pour que la modélisation soit convaincante).


3.c. • On obtient alors pour σ(r)σ(r) la courbe suivante (l'ajustement pour une partition en 18 intervalles, avec un remplissage rouge, donne une répartition comparable).

Cette représentation confirme globalement celle obtenue par l'autre méthode. Il apparaît clairement que la distribution de charges est très piquée en périphérie.

elecStatique_cor_Im/sigma-2.jpg


4. • Dans un tel dispositif, la symétrie fait que les composantes radiales se compensent dans le plan médian, donnant un champ parallèle à l'axe. Chacun des disques est ainsi équipotentiel.

elecStatique_cor_Im/elecStatique_cor_Im5.jpg

• De ce fait, la répartition des charges est naturellement quasi uniforme : les charges de même signe se repoussent ; tout en étant au même potentiel, c'est ainsi qu'elles sont “en moyenne” le plus écartées les unes des autres (une accumulation dans une zone y causerait une augmentation du potentiel). Ceci donne un champ quasi uniforme.
• La modélisation “classique” par une répartition uniforme des charges, bien que n'étant qu'une grossière approximation pour le cas d'une plaque, est une bonne approximation pour ce cas ; c'est ce qui en justifie l'utilisation, mais il est vrai que cela nécessite quelques précisions si on veut éviter une mauvaise compréhension et de regrettables illusions.